| 일 | 월 | 화 | 수 | 목 | 금 | 토 |
|---|---|---|---|---|---|---|
| 1 | 2 | 3 | 4 | 5 | 6 | 7 |
| 8 | 9 | 10 | 11 | 12 | 13 | 14 |
| 15 | 16 | 17 | 18 | 19 | 20 | 21 |
| 22 | 23 | 24 | 25 | 26 | 27 | 28 |
| 29 | 30 | 31 |
Tags
- 도형과 무한등비급수
- 접선의 방정식
- 수열의 극한
- 행렬과 그래프
- 수악중독
- 기하와 벡터
- 수만휘 교과서
- 수학질문
- 수학1
- 수학질문답변
- 심화미적
- 함수의 그래프와 미분
- 적분
- 로그함수의 그래프
- 여러 가지 수열
- 함수의 연속
- 미분
- 경우의 수
- 함수의 극한
- 정적분
- 수학2
- 중복조합
- 확률
- 수능저격
- 미적분과 통계기본
- 이차곡선
- 행렬
- 적분과 통계
- 수열
- 이정근
Archives
- Today
- Total
수악중독
여러 가지 미분법&사잇값 정리_난이도 상 (2025년 6월 고3 미적분 28번) 본문
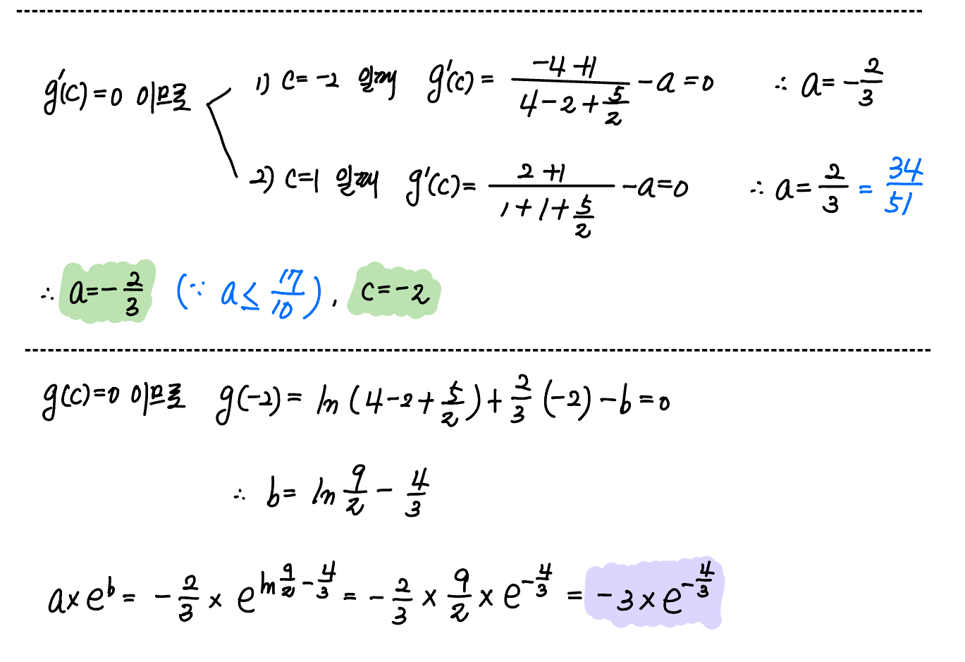
실수 전체의 집합에서 이계도함수를 갖는 함수 $f(x)$와 두 상수 $a$, $b$가 다음 조건을 만족시킬 때, $a \times e^b$의 값은?
(가) 모든 실수 $x$에 대하여 $$(f(x))^5 + (f(x))^3 + a x + b = \ln \left (x^2 + x + \dfrac{5}{2}\right )$$이다.
(나) $f(-3)f(3) < 0$, $f'(2) > 0$
① $-3e^{-\frac{4}{3}}$ ② $-\dfrac{5}{3}e^{-\frac{4}{3}}$ ③ $-\dfrac{1}{3}e^{-\frac{4}{3}}$ ④ $e^{-\frac{4}{3}}$ ⑤ $\dfrac{7}{3}e^{-\frac{4}{3}}$
더보기


정답 ①


Comments