| 일 | 월 | 화 | 수 | 목 | 금 | 토 |
|---|---|---|---|---|---|---|
| 1 | 2 | 3 | 4 | 5 | 6 | 7 |
| 8 | 9 | 10 | 11 | 12 | 13 | 14 |
| 15 | 16 | 17 | 18 | 19 | 20 | 21 |
| 22 | 23 | 24 | 25 | 26 | 27 | 28 |
| 29 | 30 | 31 |
Tags
- 함수의 그래프와 미분
- 이차곡선
- 수열
- 수능저격
- 접선의 방정식
- 도형과 무한등비급수
- 수학질문
- 중복조합
- 미분
- 수열의 극한
- 확률
- 경우의 수
- 이정근
- 수만휘 교과서
- 미적분과 통계기본
- 정적분
- 함수의 극한
- 여러 가지 수열
- 로그함수의 그래프
- 수악중독
- 수학2
- 함수의 연속
- 수학질문답변
- 적분
- 수학1
- 기하와 벡터
- 심화미적
- 적분과 통계
- 행렬과 그래프
- 행렬
Archives
- Today
- Total
수악중독
함수의 극대와 극소&불연속 점_난이도 상 (2025년 5월 고3 21번) 본문
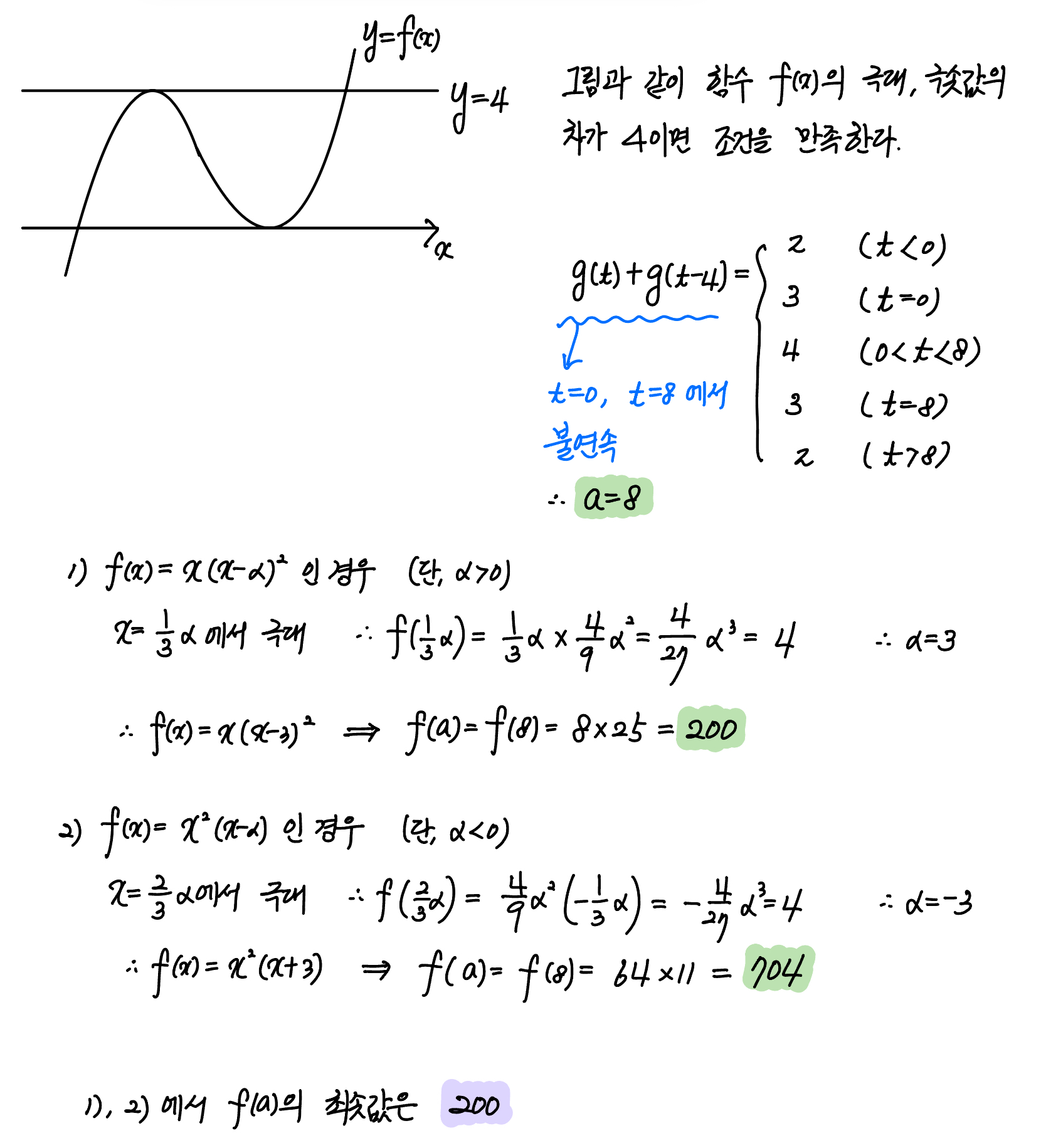
최고차항의 계수가 $1$이고 $f(0)=0$인 삼차함수 $f(x)$와 실수 $t$에 대하여 곡선 $y=f(x)$와 직선 $y=t$가 만나는 점의 개수를 $g(t)$라 하자. 양수 $a$와 함수 $g(t)$가 다음 조건을 만족시킨다.
함수 $g(t)+g(t-4)$는 $t=0$과 $t=a$에서만 불연속이다.
$f(a)$의 최솟값을 구하시오.
더보기

정답 $200$

Comments