| 일 | 월 | 화 | 수 | 목 | 금 | 토 |
|---|---|---|---|---|---|---|
| 1 | 2 | 3 | 4 | 5 | 6 | 7 |
| 8 | 9 | 10 | 11 | 12 | 13 | 14 |
| 15 | 16 | 17 | 18 | 19 | 20 | 21 |
| 22 | 23 | 24 | 25 | 26 | 27 | 28 |
| 29 | 30 | 31 |
Tags
- 수학1
- 도형과 무한등비급수
- 기하와 벡터
- 확률
- 수학질문
- 함수의 연속
- 수열
- 수능저격
- 경우의 수
- 수열의 극한
- 행렬
- 이차곡선
- 심화미적
- 수학2
- 수만휘 교과서
- 적분
- 수학질문답변
- 이정근
- 로그함수의 그래프
- 적분과 통계
- 여러 가지 수열
- 미분
- 함수의 그래프와 미분
- 중복조합
- 수악중독
- 미적분과 통계기본
- 행렬과 그래프
- 정적분
- 접선의 방정식
- 함수의 극한
Archives
- Today
- Total
수악중독
(중학과정) 일차방정식 활용_난이도 하 (2025년 3월 고1 9번) 본문
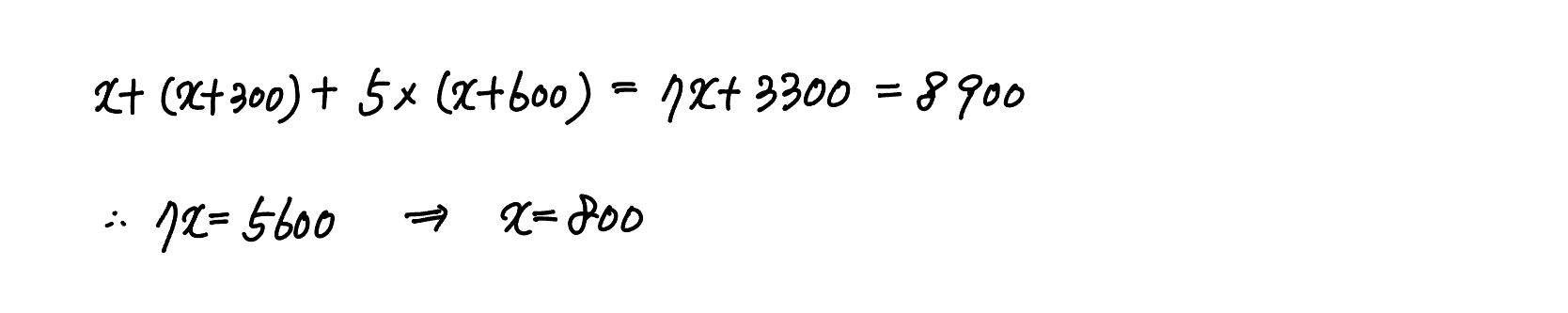
어느 학생이 7일 동안 매일 달리기 연습을 하였다. 첫째 날에는 $x\,\mathrm{m}$ 만큼 달렸고, 둘째 날에는 첫째 날보다 $300\,\mathrm{m}$ 만큼 더 달렸다. 셋째 날에는 둘째 날보다 $300\,\mathrm{m}$ 만큼 더 달렸고, 넷째 날부터는 매일 그 전날과 같은 거리만큼 달렸다. 이 학생이 7일 동안 총 $8900\,\mathrm{m}$ 만큼 달렸을 때, $x$의 값은?
① $400$ ② $500$ ③ $600$ ④ $700$ ⑤ $800$
더보기

정답 ⑤

Comments