관리 메뉴


수악중독

(중학과정) 삼각비_난이도 하 (2025년 3월 고1 11번) 본문

카테고리 없음

(중학과정) 삼각비_난이도 하 (2025년 3월 고1 11번)

수악중독 2025. 3. 28. 11:20

 

 

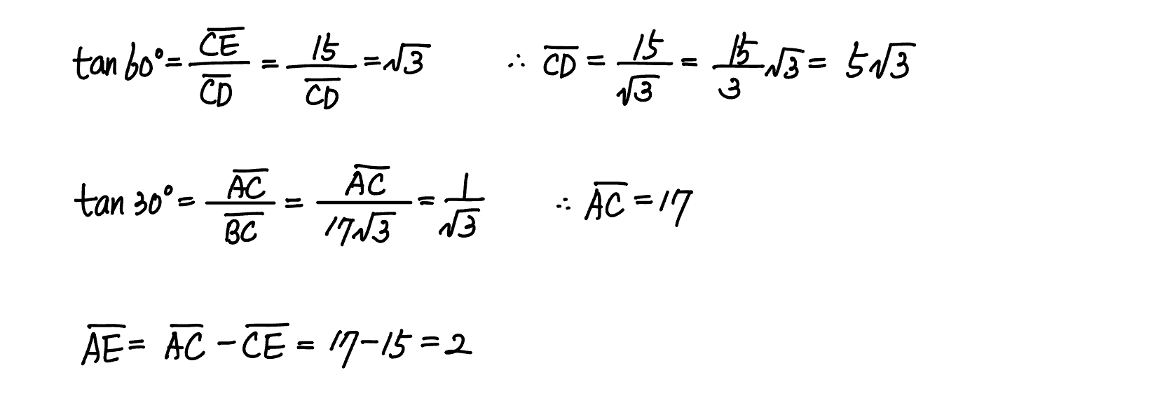
그림과 같이 $\angle \mathrm{B} = 30^\circ$, $\angle \mathrm{C} = 90^\circ$인 직각삼각형 $\mathrm{ABC}$가 있다. 선분 $\mathrm{BC}$ 위의 점 $\mathrm{D}$와 선분 $\mathrm{AC}$ 위의 점 $\mathrm{E}$에 대하여  $\mathrm{BD} = 12\sqrt{3}$, $\overline{\mathrm{CE}} = 15$, $\angle \mathrm{CDE} = 60^\circ $일 때, 선분 $\mathrm{AE}$의 길이는? 

 


① $\dfrac{\sqrt{3}}{2}$           ② $1$           ③ $\dfrac{3}{2}$           ④ $\sqrt{3}$           ⑤ $2$

 

더보기

정답 ⑤

Comments