| 일 | 월 | 화 | 수 | 목 | 금 | 토 |
|---|---|---|---|---|---|---|
| 1 | 2 | 3 | 4 | 5 | 6 | 7 |
| 8 | 9 | 10 | 11 | 12 | 13 | 14 |
| 15 | 16 | 17 | 18 | 19 | 20 | 21 |
| 22 | 23 | 24 | 25 | 26 | 27 | 28 |
| 29 | 30 | 31 |
Tags
- 수열
- 중복조합
- 함수의 연속
- 수능저격
- 접선의 방정식
- 기하와 벡터
- 미분
- 함수의 그래프와 미분
- 수만휘 교과서
- 수학2
- 행렬과 그래프
- 이정근
- 미적분과 통계기본
- 경우의 수
- 적분과 통계
- 여러 가지 수열
- 정적분
- 확률
- 이차곡선
- 적분
- 수학질문
- 수열의 극한
- 수악중독
- 로그함수의 그래프
- 함수의 극한
- 행렬
- 심화미적
- 도형과 무한등비급수
- 수학질문답변
- 수학1
Archives
- Today
- Total
수악중독
등비수열의 극한_난이도 하 (2024년 10월 전국연합 고3 미적분 25번) 본문
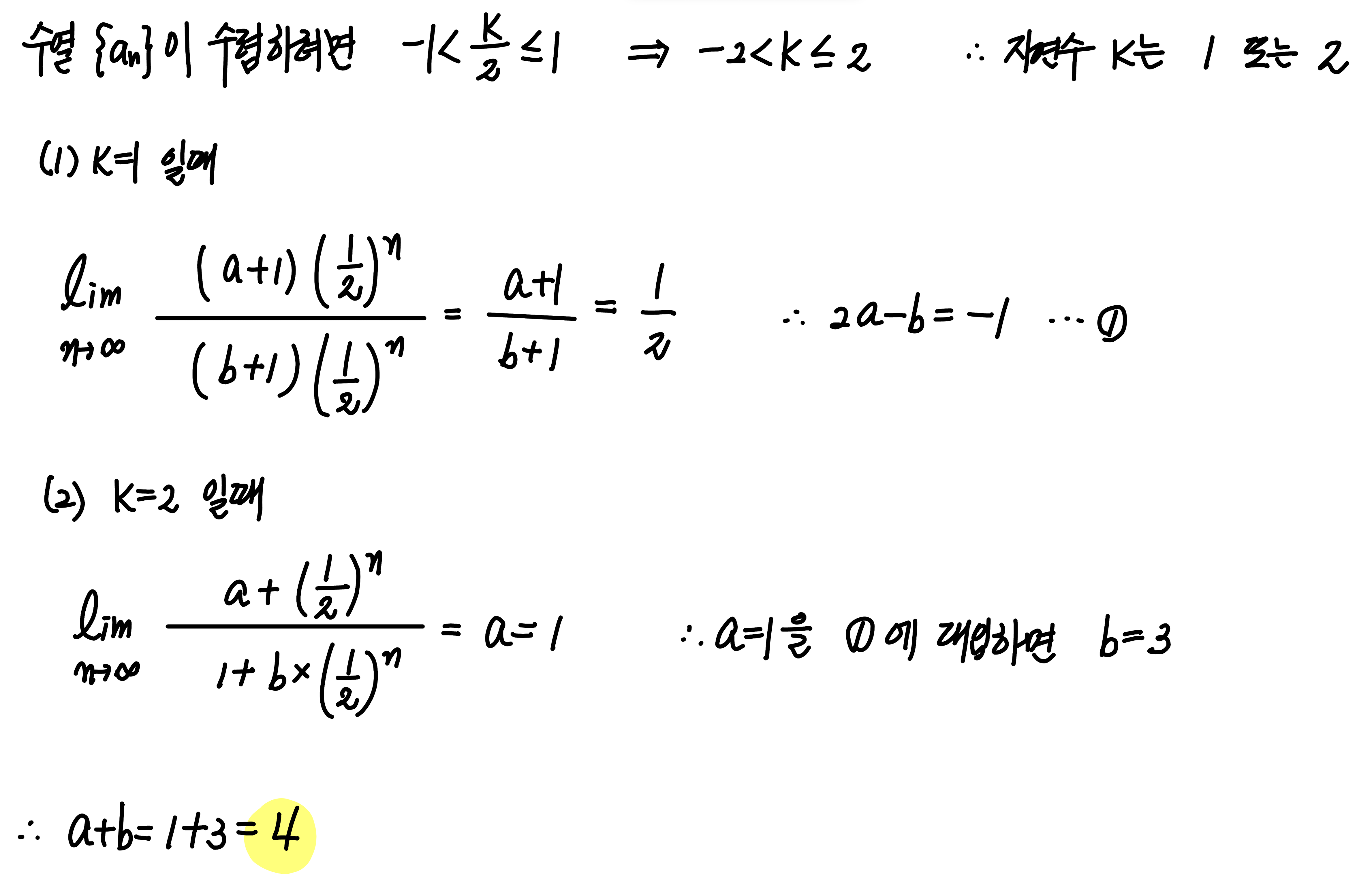
수열 $a_n = \left (\dfrac{k}{2} \right )^n$ 이 수렴하도록 하는 모든 자연수 $k$ 에 대하여 $$\lim \limits_{n \to \infty} \dfrac{a \times a_n + \left (\dfrac{1}{2} \right )^n}{a_n+b \times \left (\dfrac{1}{2} \right )^n} = \dfrac{k}{2}$$ 일 때, $a+b$ 의 값은? (단, $a$ 와 $b$ 는 상수이다.)
① $1$ ② $2$ ③ $3$ ④ $4$ ⑤ $5$
더보기

정답 ④

Comments