| 일 | 월 | 화 | 수 | 목 | 금 | 토 |
|---|---|---|---|---|---|---|
| 1 | 2 | 3 | 4 | 5 | 6 | 7 |
| 8 | 9 | 10 | 11 | 12 | 13 | 14 |
| 15 | 16 | 17 | 18 | 19 | 20 | 21 |
| 22 | 23 | 24 | 25 | 26 | 27 | 28 |
| 29 | 30 | 31 |
Tags
- 중복조합
- 적분과 통계
- 여러 가지 수열
- 정적분
- 수학1
- 행렬
- 도형과 무한등비급수
- 로그함수의 그래프
- 수열의 극한
- 함수의 극한
- 심화미적
- 적분
- 미적분과 통계기본
- 수만휘 교과서
- 수악중독
- 수학2
- 확률
- 행렬과 그래프
- 접선의 방정식
- 이차곡선
- 수학질문
- 미분
- 수능저격
- 수학질문답변
- 수열
- 이정근
- 기하와 벡터
- 경우의 수
- 함수의 그래프와 미분
- 함수의 연속
Archives
- Today
- Total
수악중독
등비수열의 일반항_난이도 하 (2024년 9월 전국연합 고2 13번) 본문
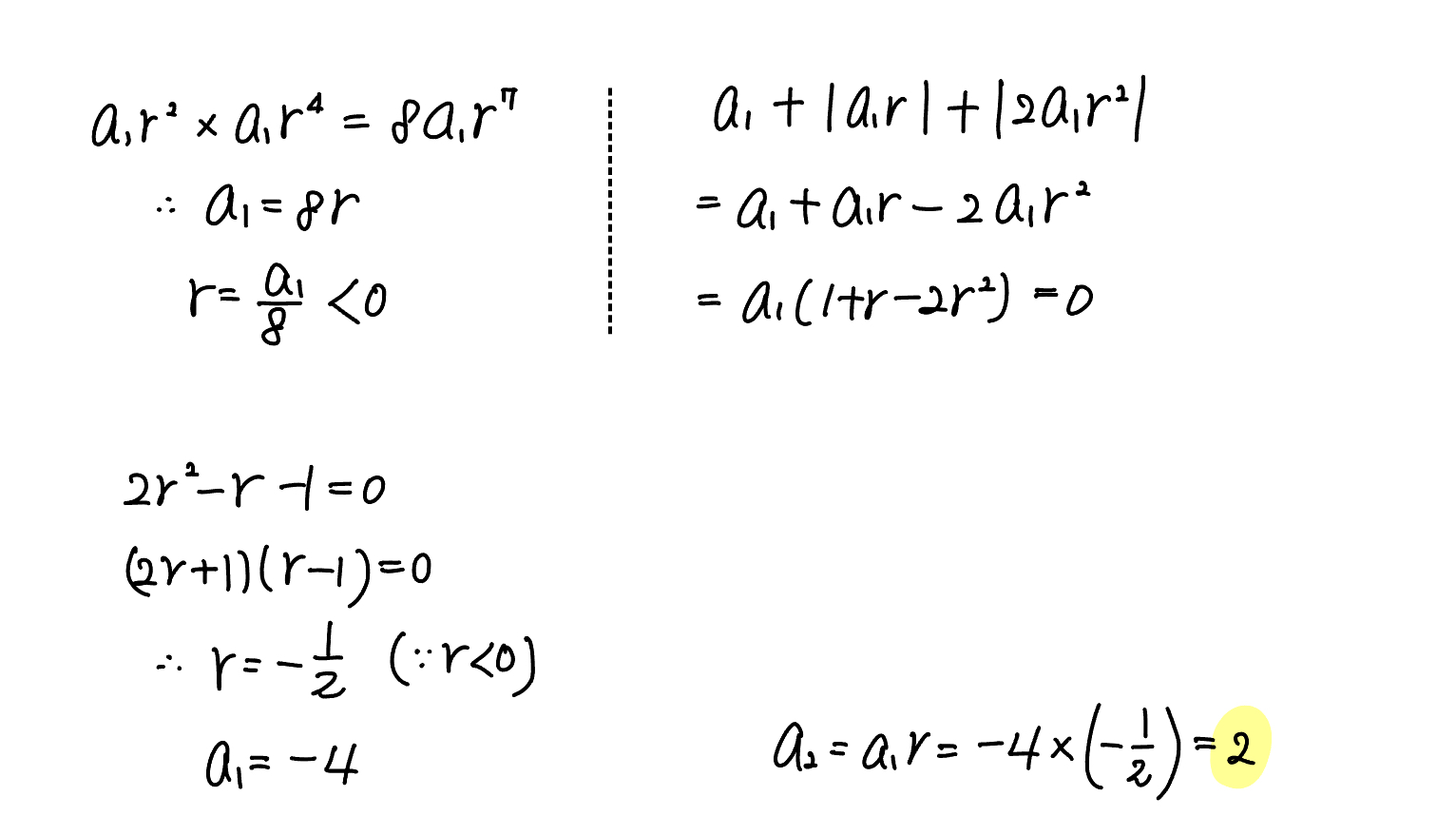
첫째항이 음수인 등비수열 $\{a_n\}$ 에 대하여 $$a_3 a_5 = 8a_8, \quad a_1 + |a_2| + |2a_3|=0$$ 일 때, $a_2$ 의 값은?
① $-1$ ② $-\dfrac{1}{2}$ ③ $\dfrac{1}{2}$ ④ $1$ ⑤ $2$
더보기

정답 ⑤

Comments