| 일 | 월 | 화 | 수 | 목 | 금 | 토 |
|---|---|---|---|---|---|---|
| 1 | 2 | 3 | 4 | |||
| 5 | 6 | 7 | 8 | 9 | 10 | 11 |
| 12 | 13 | 14 | 15 | 16 | 17 | 18 |
| 19 | 20 | 21 | 22 | 23 | 24 | 25 |
| 26 | 27 | 28 | 29 | 30 |
Tags
- 로그함수의 그래프
- 경우의 수
- 수악중독
- 수학2
- 이정근
- 함수의 연속
- 함수의 그래프와 미분
- 수학질문
- 수학1
- 기하와 벡터
- 행렬과 그래프
- 접선의 방정식
- 미분
- 수능저격
- 행렬
- 적분
- 중복조합
- 심화미적
- 수학질문답변
- 함수의 극한
- 도형과 무한등비급수
- 이차곡선
- 정적분
- 적분과 통계
- 확률
- 미적분과 통계기본
- 수만휘 교과서
- 수열
- 여러 가지 수열
- 수열의 극한
Archives
- Today
- Total
수악중독
지수함수와 로그함수의 역함수 관계_난이도 상 (2024년 6월 전국연합 고2 17번) 본문
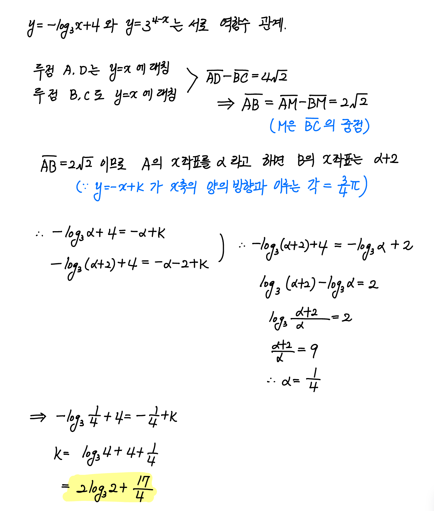
그림과 같이 상수 $k \; (5<k<6)$ 에 대하여 직선 $y=-x+k$ 가 두 곡선 $$y=-\log_3 x+4, \quad y=3^{-x+4}$$ 과 만나는 네 점을 $x$ 좌표가 작은 점부터 차례로 $\mathrm{A, \; B, \; C, \; D}$ 라 하자. $\overline{\mathrm{AD}}-\overline{\mathrm{BC}}=4\sqrt{2}$ 일 때, $k$ 의 값은?

① $\dfrac{19}{4}+\log_3 2$ ② $\dfrac{17}{4}+2\log_3 2$ ③ $\dfrac{17}{4}+\log_3 5$ ④ $\dfrac{9}{2}+2\log_3 2$ ⑤ $\dfrac{9}{2}+\log_3 5$
더보기

정답 ②

Comments