| 일 | 월 | 화 | 수 | 목 | 금 | 토 |
|---|---|---|---|---|---|---|
| 1 | 2 | 3 | ||||
| 4 | 5 | 6 | 7 | 8 | 9 | 10 |
| 11 | 12 | 13 | 14 | 15 | 16 | 17 |
| 18 | 19 | 20 | 21 | 22 | 23 | 24 |
| 25 | 26 | 27 | 28 | 29 | 30 | 31 |
Tags
- 함수의 연속
- 심화미적
- 여러 가지 수열
- 함수의 그래프와 미분
- 수학2
- 이정근
- 수학1
- 수학질문
- 수열의 극한
- 이차곡선
- 정적분
- 수열
- 경우의 수
- 수만휘 교과서
- 도형과 무한등비급수
- 수악중독
- 행렬
- 확률
- 중복조합
- 함수의 극한
- 접선의 방정식
- 적분
- 행렬과 그래프
- 로그함수의 그래프
- 수능저격
- 수학질문답변
- 미적분과 통계기본
- 미분
- 적분과 통계
- 기하와 벡터
Archives
- Today
- Total
수악중독
함수의 최대와 최소_난이도 중 (2023년 10월 전국연합 고3 8번) 본문
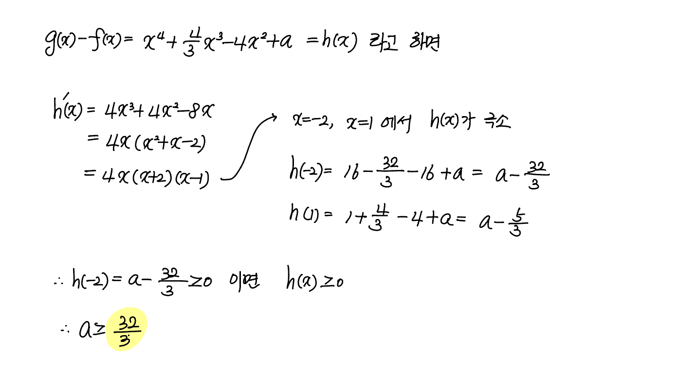
두 함수 $$f(x)=-x^4-x^3+2x^2, \quad g(x)=\dfrac{1}{3}x^3 -2x^2+a$$ 가 있다. 모든 실수 $x$ 에 대하여 부등식 $$f(x) \le g(x)$$ 가 성립할 때, 실수 $a$ 의 최솟값은?
① $8$ ② $\dfrac{26}{3}$ ③ $\dfrac{28}{3}$ ④ $10$ ⑤ $\dfrac{32}{3}$
더보기

정답 ⑤

Comments