| 일 | 월 | 화 | 수 | 목 | 금 | 토 |
|---|---|---|---|---|---|---|
| 1 | 2 | 3 | 4 | 5 | 6 | 7 |
| 8 | 9 | 10 | 11 | 12 | 13 | 14 |
| 15 | 16 | 17 | 18 | 19 | 20 | 21 |
| 22 | 23 | 24 | 25 | 26 | 27 | 28 |
| 29 | 30 | 31 |
Tags
- 함수의 그래프와 미분
- 미적분과 통계기본
- 적분
- 수학2
- 정적분
- 확률
- 함수의 극한
- 미분
- 경우의 수
- 기하와 벡터
- 행렬
- 함수의 연속
- 수열
- 수학질문
- 수만휘 교과서
- 행렬과 그래프
- 수학1
- 수능저격
- 중복조합
- 적분과 통계
- 이차곡선
- 여러 가지 수열
- 수악중독
- 수열의 극한
- 이정근
- 도형과 무한등비급수
- 로그함수의 그래프
- 접선의 방정식
- 심화미적
- 수학질문답변
Archives
- Today
- Total
수악중독
짝함수와 홀함수의 정적분_난이도 하 (2021년 3월 전국연합 고3 4번) 본문
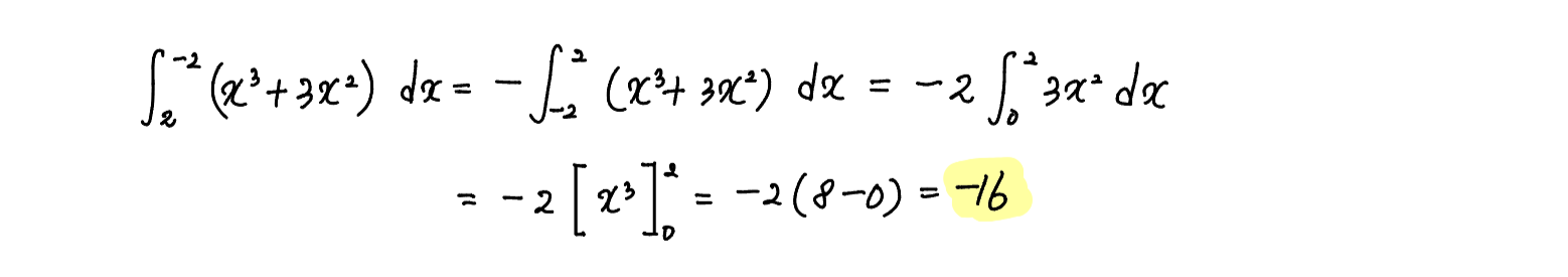
$\displaystyle \int_2^{-2} \left (x^3 +3x^2 \right ) dx$ 의 값은?
① $-16$ ② $-8$ ③ $0$ ④ $8$ ⑤ $16$
더보기

정답 ①

Comments