| 일 | 월 | 화 | 수 | 목 | 금 | 토 |
|---|---|---|---|---|---|---|
| 1 | 2 | 3 | ||||
| 4 | 5 | 6 | 7 | 8 | 9 | 10 |
| 11 | 12 | 13 | 14 | 15 | 16 | 17 |
| 18 | 19 | 20 | 21 | 22 | 23 | 24 |
| 25 | 26 | 27 | 28 | 29 | 30 | 31 |
Tags
- 여러 가지 수열
- 미적분과 통계기본
- 함수의 그래프와 미분
- 함수의 극한
- 함수의 연속
- 적분
- 기하와 벡터
- 이차곡선
- 적분과 통계
- 이정근
- 확률
- 수만휘 교과서
- 도형과 무한등비급수
- 수열의 극한
- 경우의 수
- 수악중독
- 정적분
- 수능저격
- 미분
- 로그함수의 그래프
- 수학질문답변
- 수학질문
- 수학2
- 행렬과 그래프
- 수학1
- 심화미적
- 중복조합
- 접선의 방정식
- 행렬
- 수열
Archives
- Today
- Total
수악중독
적분의 성질 & 홀함수, 짝함수와 정적분_난이도 중 (2022년 3월 전국연합 고3 17번) 본문
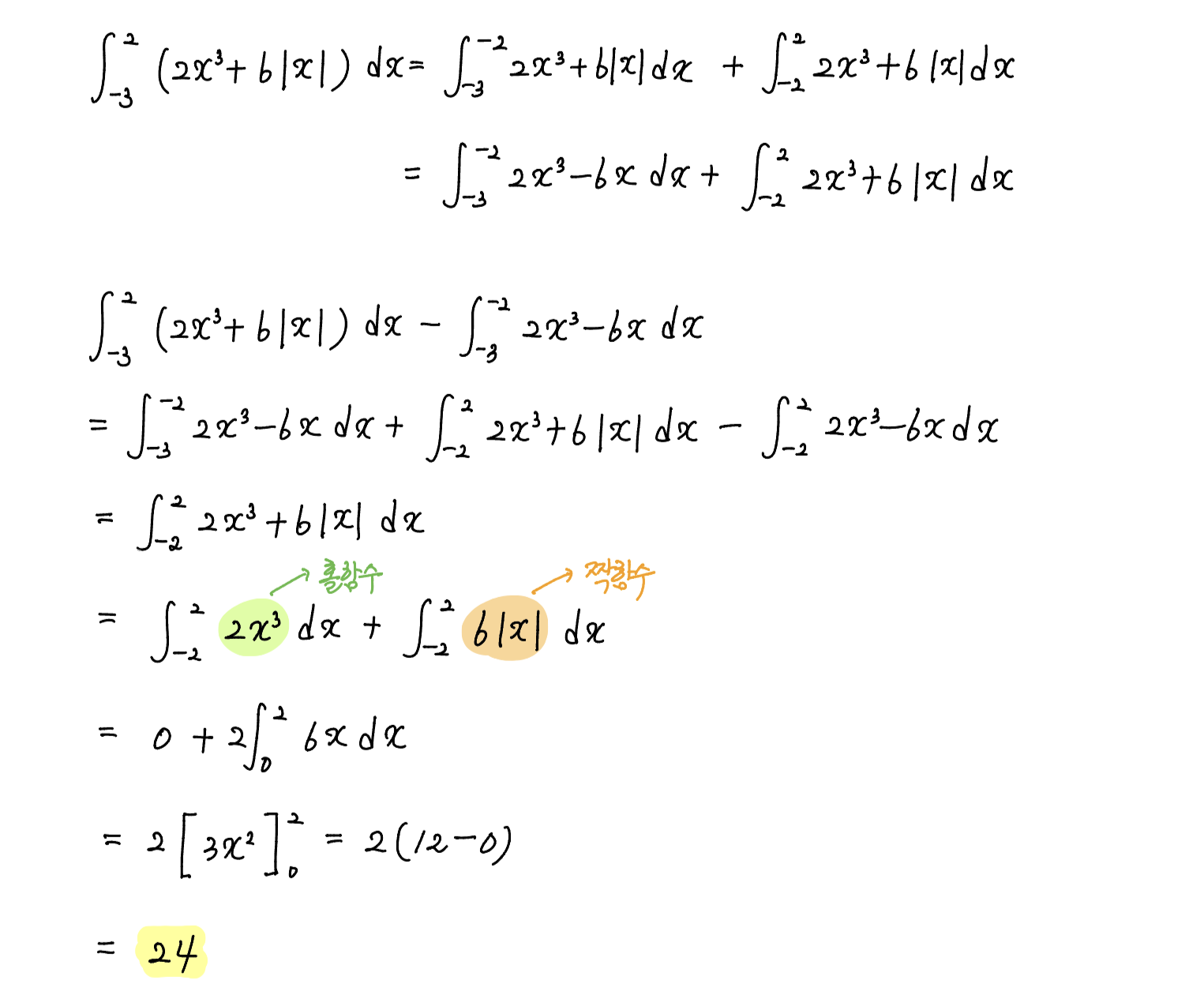
$\displaystyle \int_{-3}^2 \left (2x^3 + 6|x| \right ) \; dx - \int_{-3}^{-2} \left (2x^3 - 6x \right ) \; dx$ 의 값을 구하시오.
더보기

정답 $24$

Comments