| 일 | 월 | 화 | 수 | 목 | 금 | 토 |
|---|---|---|---|---|---|---|
| 1 | 2 | 3 | 4 | 5 | 6 | 7 |
| 8 | 9 | 10 | 11 | 12 | 13 | 14 |
| 15 | 16 | 17 | 18 | 19 | 20 | 21 |
| 22 | 23 | 24 | 25 | 26 | 27 | 28 |
| 29 | 30 | 31 |
- 이정근
- 기하와 벡터
- 도형과 무한등비급수
- 이차곡선
- 수악중독
- 행렬과 그래프
- 경우의 수
- 로그함수의 그래프
- 적분과 통계
- 수학2
- 수학1
- 접선의 방정식
- 수학질문답변
- 미적분과 통계기본
- 미분
- 정적분
- 함수의 극한
- 함수의 연속
- 심화미적
- 중복조합
- 수열의 극한
- 수학질문
- 함수의 그래프와 미분
- 확률
- 행렬
- 수능저격
- 수열
- 수만휘 교과서
- 적분
- 여러 가지 수열
- Today
- Total
수악중독
사인법칙&코사인법칙_난이도 중 (2022년 4월 전국연합 고3 15번) 본문
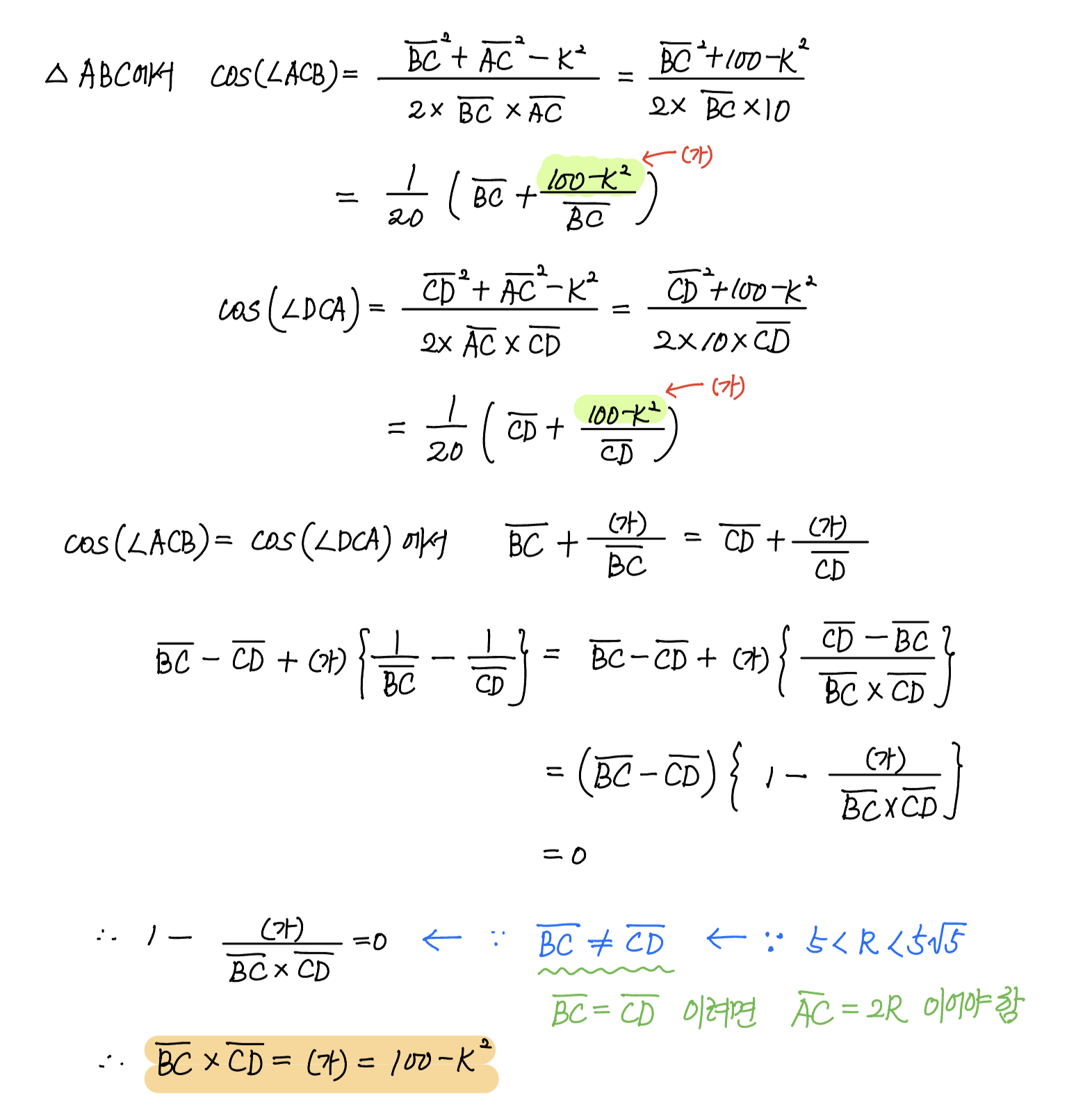
그림과 같이 반지름의 길이가 $R \; \left (5<R<5\sqrt{5} \right )$ 인 원에 내접하는 사각형 $\rm ABCD$ 가 다음 조건을 만족시킨다.
(가) $\overline{\rm AB}=\overline{\rm AD}$ 이고 $\overline{\rm AC}=10$ 이다.
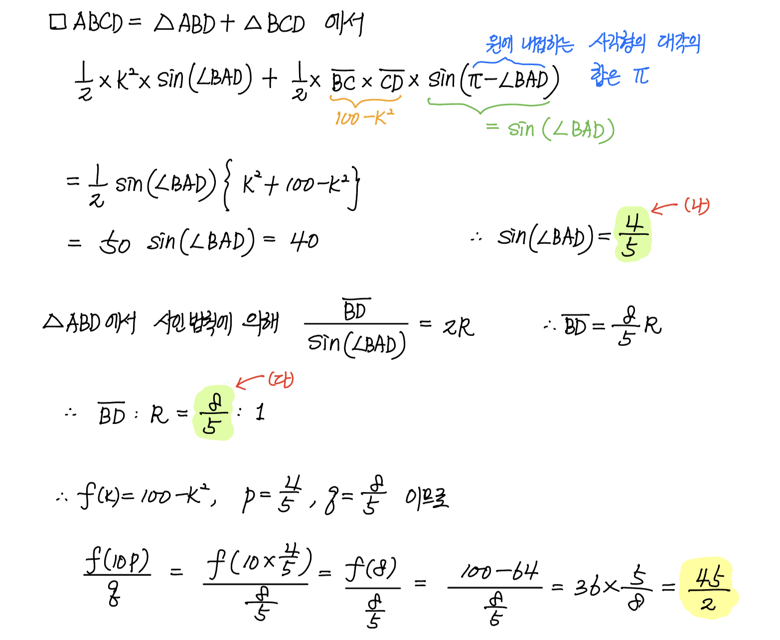
(나) 사각형 $\rm ABCD$ 의 넓이는 $40$ 이다.

다음은 선분 $\rm BD$ 의 길이와 $R$ 의 비를 구하는 과정이다.
$\overline{\rm AB}=\overline{\rm AD}=k$ 라 할 때
두 삼각형 $\rm ABC, \; ACD$ 에서 각각 코사인법칙에 의하여 $$\cos \left ( \angle \rm ACB \right ) = \dfrac{1}{20} \left ( \overline{\rm BC} + \dfrac{\boxed{ (가) }}{\overline{\rm BC}} \right )$$ $$\cos \left (\angle \rm DCA \right ) =\dfrac{1}{20} \left ( \overline{\rm CD} + \dfrac{\boxed{ (가) }}{\overline{\rm CD}} \right )$$이다.
이때 두 호 $\rm AB, \; AD$ 에 대한 원주각의 크기가 같으므로 $\cos \left (\angle \rm ACB \right ) = \cos \left ( \angle \rm DCA \right )$ 이다.
사각형 $\rm ABCD$ 의 넓이는 두 삼각형 $\rm ABD, \; BCD$의 넓이의 합과 같으므로 $$\dfrac{1}{2} k^2 \sin \left ( \angle \rm BAD \right ) + \dfrac{1}{2} \times \overline{\rm BC} \times \overline{\rm CD} \times \sin \left ( \pi - \angle \rm BAD \right ) = 40$$ 에서 $\sin \left (\angle \rm BAD \right ) = \boxed{ (나) }$ 이다.
따라서 삼각형 $\rm ABD$ 에서 사인법칙의하여 $\overline{\rm BD}:R=\boxed{ (다 ) }:1$ 이다.
위의 (가)에 알맞은 식을 $f(k)$라 하고, (나), (다)에 알맞은 수를 각각 $p, \; q$ 라 할 때, $\dfrac{f(10p)}{q}$ 의 값은?
① $\dfrac{25}{2}$ ② $15$ ③ $\dfrac{35}{2}$ ④ $20$ ⑤ $\dfrac{45}{2}$
정답 ⑤

