| 일 | 월 | 화 | 수 | 목 | 금 | 토 |
|---|---|---|---|---|---|---|
| 1 | ||||||
| 2 | 3 | 4 | 5 | 6 | 7 | 8 |
| 9 | 10 | 11 | 12 | 13 | 14 | 15 |
| 16 | 17 | 18 | 19 | 20 | 21 | 22 |
| 23 | 24 | 25 | 26 | 27 | 28 | 29 |
| 30 |
Tags
- 이차곡선
- 경우의 수
- 확률
- 수학질문
- 수능저격
- 행렬과 그래프
- 이정근
- 수학질문답변
- 적분
- 정적분
- 함수의 연속
- 기하와 벡터
- 도형과 무한등비급수
- 여러 가지 수열
- 수열의 극한
- 함수의 극한
- 로그함수의 그래프
- 수만휘 교과서
- 행렬
- 미분
- 중복조합
- 심화미적
- 적분과 통계
- 함수의 그래프와 미분
- 수열
- 수악중독
- 수학1
- 미적분과 통계기본
- 수학2
- 접선의 방정식
Archives
- Today
- Total
수악중독
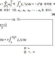
미적분과 통계기본_적분_난이도 중_정적분으로 정의된 함수 본문
다음 두 조건 \(\rm I, II\) 를 만족시키는 함수 \(f(x)\) 가 있다.
이때, 정적분 \({\displaystyle \int}_{a}^{3a} f(x) dx \)의 값은?
① \(2\) ② \(3\) ③ \(5\) ④ \(6\) ⑤ \(8\)
\({\rm I}. \;\; {\displaystyle \int} _{0}^{1} \! f(t) dt =1\)
\({\rm II}.\) 임의의 실수 \(x\) 에 대하여 \({\displaystyle \int}_{0}^{x} f(t) dt = {\dfrac{3}{2}} x^2 \cdot {\displaystyle \int}_{0}^{a} t f(t) dt \)
이때, 정적분 \({\displaystyle \int}_{a}^{3a} f(x) dx \)의 값은?
① \(2\) ② \(3\) ③ \(5\) ④ \(6\) ⑤ \(8\)
Comments