| 일 | 월 | 화 | 수 | 목 | 금 | 토 |
|---|---|---|---|---|---|---|
| 1 | 2 | 3 | 4 | 5 | 6 | |
| 7 | 8 | 9 | 10 | 11 | 12 | 13 |
| 14 | 15 | 16 | 17 | 18 | 19 | 20 |
| 21 | 22 | 23 | 24 | 25 | 26 | 27 |
| 28 | 29 | 30 | 31 |
- 기하와 벡터
- 수열의 극한
- 미분
- 적분과 통계
- 여러 가지 수열
- 수학질문
- 함수의 그래프와 미분
- 중복조합
- 행렬
- 로그함수의 그래프
- 도형과 무한등비급수
- 접선의 방정식
- 수학질문답변
- 수학1
- 수학2
- 이차곡선
- 이정근
- 수만휘 교과서
- 심화미적
- 함수의 극한
- 수능저격
- 경우의 수
- 함수의 연속
- 수악중독
- 정적분
- 적분
- 미적분과 통계기본
- 행렬과 그래프
- 확률
- 수열
- Today
- Total
목록주기함수의 정적분 (3)
수악중독
모든 실수 $x$ 에 대하여 연속인 함수 $f(x)$ 가 다음 조건을 만족시킨다. (가) 모든 실수 $x$ 에 대하여 $f(x+2)=f(x)$ 이다.(나) $0 \le x \le 1$ 일 때, $f(x)=\sin \pi x +1$ 이다.(다) $1
모든 실수 \(x\) 에 대하여 함수 \(f(x)\) 는 \(f(x)=f(x+2)\) 를 를 만족시키고, \(-1 \leq x \leq 1\) 에서 다음과 같이 정의된다. \[ f(x)=30x^2+15\] 이때, \(\lim \limits_{n \to \infty} \dfrac{1}{n} \sum \limits_{k=1}^{n} f \left ( 10+ \dfrac{2k}{n} \right )\) 의 값을 구하시오. 정답 \(25\)
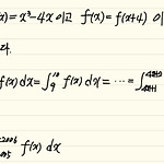
함수 \(f(x)\) 는 다음 두 조건을 만족한다. (가) \(-2 \leq x \leq 2\) 일 때, \(f(x)=x^3-4x\) (나) 임의의 실수 \(x\) 에 대하여 \(f(x)=f(x+4)\) 정적분 \(\displaystyle \int_{1}^{2} f(x) dx\) 와 같은 것은? ① \(\displaystyle \int_{2004}^{2005} f(x) dx\) ② \(-\displaystyle \int_{2004}^{2005} f(x) dx\) ③ \(\displaystyle \int_{2005}^{2006} f(x) dx\) ④ \(-\displaystyle \int_{2005}^{2006} f(x) dx\) ⑤ \(\displaystyle \int_{2006}^{2007} f(x) ..