| 일 | 월 | 화 | 수 | 목 | 금 | 토 |
|---|---|---|---|---|---|---|
| 1 | 2 | 3 | 4 | 5 | 6 | |
| 7 | 8 | 9 | 10 | 11 | 12 | 13 |
| 14 | 15 | 16 | 17 | 18 | 19 | 20 |
| 21 | 22 | 23 | 24 | 25 | 26 | 27 |
| 28 | 29 | 30 | 31 |
- 도형과 무한등비급수
- 접선의 방정식
- 경우의 수
- 수학2
- 기하와 벡터
- 수만휘 교과서
- 수학질문답변
- 함수의 연속
- 수학질문
- 적분과 통계
- 미적분과 통계기본
- 확률
- 수학1
- 행렬
- 행렬과 그래프
- 심화미적
- 로그함수의 그래프
- 함수의 그래프와 미분
- 수능저격
- 수악중독
- 수열의 극한
- 여러 가지 수열
- 이정근
- 미분
- 정적분
- 수열
- 적분
- 이차곡선
- 중복조합
- 함수의 극한
- Today
- Total
목록정적분과 무한급수 (14)
수악중독
$n$ 이하의 자연수 $k$ 에 대하여 $x_k = \dfrac{k}{n}$ 라 하자. 함수 $f(x)=e^{2x}-e^x+ex$ 에 대하여 곡선 $y=f(x)$ 위의 점 $ {\rm A}_k(x_k, \; f(x_k))$ 에서의 접선이 $x$ 축과 만나는 점을 ${\rm B}_k$ 라 하고, 점 ${\rm A}_k$ 에서 $x$ 축에 내린 수선의 발을 $ {\rm C}_k$ 라 하자. $\lim \limits_{n \to \infty} \dfrac{1}{n} \sum \limits_{k=1}^n \dfrac{\{f(x_k)\}^4}{\overline{{\rm B}_k {\rm C}_k}}$ 의 값은? (단, $n$ 은 자연수이다.) ① $\dfrac{1}{4}e^4$ ② $\dfrac{1}{2}e^4$..
\(\overline{\rm AD}=1,\; \overline{\rm AB}=\sqrt{2},\; \overline{\rm BC}=3\) 인 등변사다리꼴 \(\rm ABCD\) 에서 변 \(\rm AB\) 를 \(n\) 등분한 점을 각각 \(\rm P_1, \;P_2 ,\; P_3, \; \cdots,\; P_{\it n \rm -1}\) 이라 하고, 각 점에서 변 \(\rm BC\) 에 평행한 직선을 그어 변 \(\rm CD\) 와 만나는 점을 각각 \(\rm Q_1, \;Q_2,\; \cdots ,\; Q_{\it n \rm -1}\) 이라 할 때, \(\lim \limits_{n \to \infty} \dfrac{1}{n} \left ( \overline{\rm P_1Q_1}^3 +\overline..
모든 실수 \(x\) 에 대하여 함수 \(f(x)\) 는 \(f(x)=f(x+2)\) 를 를 만족시키고, \(-1 \leq x \leq 1\) 에서 다음과 같이 정의된다. \[ f(x)=30x^2+15\] 이때, \(\lim \limits_{n \to \infty} \dfrac{1}{n} \sum \limits_{k=1}^{n} f \left ( 10+ \dfrac{2k}{n} \right )\) 의 값을 구하시오. 정답 \(25\)
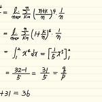
\(\lim \limits_{n \to \infty} \left \{ \dfrac{(n+1)^4}{n^5}+\dfrac{(n+2)^4}{n^5}+\dfrac{(n+3)^4}{n^5}+\cdots +\dfrac{(n+n)^4}{n^5} \right \} = \dfrac{q}{p}\) 일 때, \(p+q\) 의 값을 구하시오. (단, \(p,\;q\) 는 서로소인 자연수) 정답 \(36\)
\(\lim \limits_{n \to \infty} \dfrac{\left \{ 2^2+4^2+6^2+\cdots+(2n)^2 \right \} \left \{ 2^3+4^3+6^3+\cdots+(2n)^3 \right \}}{2^6+4^6+6^6+\cdots+(2n)^6}\) 의 값은? ① \(\dfrac{5}{24}\) ② \(\dfrac{1}{4}\) ③ \(\dfrac{7}{24}\) ④ \(\dfrac{1}{3}\) ⑤ \(\dfrac{3}{8}\) 정답 ③
그림과 같이 곡선 \(y=-x^2+1\) 위에 세 점 \(\rm A(-1,\;0),\; \rm B(1,\;0),\; \rm C(0,\;1)\) 이 있다. \(2\) 이상의 자연수 \(n\) 에 대하여 선분 \(\rm OC\) 를 \(n\) 등분할 때, 양 끝점을 포함한 각 분점을 차례로 \(\rm O= D_0,\; D_1,\; D_2,\; \cdots,\; D_{{\it n}-1},\; \rm D_{\it n} = \rm C\) 라 하자. 직선 \(\rm AD_{\it k}\) 가 곡선과 만나는 점 중 \(\rm A\) 가 아닌 점을 \({\rm P}_k\) 라 하고, 점 \(\rm P_{\it k}\) 에서 \(x\) 축에 내린 수선의 발을 \({\rm Q}_k\) 라 하자. \((k=1,\;2,\;\..
연속함수 \(f(x)\) 가 다음 조건을 만족시킨다. (가) \(f(2)=1\)(나) \(\displaystyle \int _0 ^2 f(x) dx = \dfrac{1}{4}\) \(\lim \limits_{n \to \infty} \sum \limits_{k=1}^n \left \{ f \left ( \dfrac{2k}{n} \right ) - f \left ( \dfrac{2k-2}{n} \right ) \right \} \dfrac{k}{n} \) 의 값은? ① \(\dfrac{3}{4}\) ② \(\dfrac{4}{5}\) ③ \(\dfrac{5}{6}\) ④ \(\dfrac{6}{7}\) ⑤ \(\dfrac{7}{8}\) 정답 ⑤
그림과 같이 반지름의 길이가 1인 원에 내접하는 정삼각형 \(\rm ABC\) 가 있다. 호 \(\rm BC\) 를 \(n\) 등분하여 양 끝점을 포함한 각 등분점을 차례로 \[{\rm P}_0 (={\rm B}), {\rm P}_1,\; {\rm P}_2 ,\; {\rm P}_3,\; \cdots, \; {\rm P}_{n-1}, \;{\rm P}_n (={\rm C})\] 이라 할 때, \(\lim \limits_{n \to \infty} \dfrac{\pi}{n} \sum \limits_{k=1}^{n} \overline{{\rm AP}_k}\) 의 값은? ① \(6\) ② \(7\) ③ \(8\) ④ \(9\) ⑤ \(10\) 정답 ①
\(\lim \limits_{n \to \infty} \sum \limits_{k=n+1}^{2n} \dfrac{\sqrt{k}}{n\sqrt{n}} = \displaystyle \int_{a}^{b} \sqrt{x} \;dx\) 일 때, \(a+b\) 의 값은? ① \(0\) ② \(1\) ③ \(2\) ④ \(3\) ⑤ \(4\) 정답 ④
좌표평면 위의 두 점 \( {\rm O} ( 0 , \; 0 ) , \; {\rm A } ( 2 , \; 0 ) \) 이 있다. 자연수 \( n \) 에 대하여 \(\overline {{\rm{OA}}} \) 를 \( n \) 등분한 점을 차례로 \( {\rm A_1 , \; A_2 , \; \cdots , \; A_{{\it n}-1}} \) 이라 하고, 점 \( \rm O \) 는 \( \rm A_0 \) , 점 \( \rm A \) 는 \( \rm A_{\it n} \) 이라 하자. 점 \( {\rm A_{\it k}} \) 를 지나고 \( x \) 축과 수직인 직선이 함수 \( f(x) = x^3 - 2x^2 - 5x + 6 \) 의 그래프와 만나는 점을 \( \rm B_{\it k} \) 라 하..