| 일 | 월 | 화 | 수 | 목 | 금 | 토 |
|---|---|---|---|---|---|---|
| 1 | 2 | 3 | ||||
| 4 | 5 | 6 | 7 | 8 | 9 | 10 |
| 11 | 12 | 13 | 14 | 15 | 16 | 17 |
| 18 | 19 | 20 | 21 | 22 | 23 | 24 |
| 25 | 26 | 27 | 28 | 29 | 30 | 31 |
Tags
- 행렬
- 수학2
- 이정근
- 접선의 방정식
- 함수의 극한
- 미적분과 통계기본
- 기하와 벡터
- 수학질문
- 도형과 무한등비급수
- 적분
- 수악중독
- 함수의 연속
- 수학1
- 수만휘 교과서
- 이차곡선
- 함수의 그래프와 미분
- 여러 가지 수열
- 수열
- 심화미적
- 확률
- 적분과 통계
- 경우의 수
- 수열의 극한
- 로그함수의 그래프
- 행렬과 그래프
- 중복조합
- 수학질문답변
- 정적분
- 미분
- 수능저격
Archives
- Today
- Total
수악중독
미적분과 통계기본_이항계수의 성질_난이도 상 본문
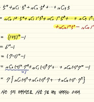
그림과 같이 \(12\) 개의 칸 속에 ○ 또는 × 를 임의로 표기할 때, ○× 또는 ×○ 와 같이 표기된 부분의 개수가 \(k\) 가 되도록 표기하는 방법의 수를 \(a_k\) 라 하자. 예를 들어,
와 같이 표기한 것은 \(k=5\) 인 경우의 하나이다. \(\sum \limits_{k=1}^{5} a_k\) 의 값은?
① \(1024\) ② \(1026\) ③ \(2046\) ④ \(2048\) ⑤ \(2050\)
Comments