| 일 | 월 | 화 | 수 | 목 | 금 | 토 |
|---|---|---|---|---|---|---|
| 1 | ||||||
| 2 | 3 | 4 | 5 | 6 | 7 | 8 |
| 9 | 10 | 11 | 12 | 13 | 14 | 15 |
| 16 | 17 | 18 | 19 | 20 | 21 | 22 |
| 23 | 24 | 25 | 26 | 27 | 28 | 29 |
| 30 |
Tags
- 함수의 그래프와 미분
- 수열
- 확률
- 적분
- 기하와 벡터
- 미분
- 경우의 수
- 수학1
- 수학질문
- 이정근
- 함수의 연속
- 수만휘 교과서
- 수능저격
- 여러 가지 수열
- 함수의 극한
- 심화미적
- 수악중독
- 행렬과 그래프
- 도형과 무한등비급수
- 중복조합
- 미적분과 통계기본
- 수열의 극한
- 수학2
- 정적분
- 수학질문답변
- 로그함수의 그래프
- 접선의 방정식
- 적분과 통계
- 행렬
- 이차곡선
Archives
- Today
- Total
수악중독
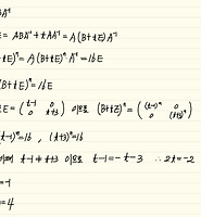
수학1_행렬과 그래프_역행렬_난이도 중 본문
두 부등식 \(x>0,\; y>x\) 의 영역에 속하는 점 \({\rm P}(a, \;b)\) 에서 두 직선 \(y=x, \; y=-x\) 에 이르는 거리를 각각 \(c,\;d\) 라 하자. 이차정사각행렬 \(M\) 인 \(M \left ( \matrix {a \\ b} \right ) = \left ( \matrix { c \\ d} \right )\) 를 만족할 때, 행렬 \(M+M^{-1}\) 의 모든 성분의 합은?
① \(1\) ② \(\sqrt{2}\) ③ \(2\) ④ \(2\sqrt{2}\) ⑤ \(\sqrt{3}\)
Comments