| 일 | 월 | 화 | 수 | 목 | 금 | 토 |
|---|---|---|---|---|---|---|
| 1 | ||||||
| 2 | 3 | 4 | 5 | 6 | 7 | 8 |
| 9 | 10 | 11 | 12 | 13 | 14 | 15 |
| 16 | 17 | 18 | 19 | 20 | 21 | 22 |
| 23 | 24 | 25 | 26 | 27 | 28 | 29 |
| 30 |
Tags
- 기하와 벡터
- 접선의 방정식
- 적분
- 여러 가지 수열
- 미분
- 수능저격
- 수학질문답변
- 수열
- 확률
- 수학질문
- 이차곡선
- 함수의 연속
- 이정근
- 행렬과 그래프
- 적분과 통계
- 미적분과 통계기본
- 로그함수의 그래프
- 수악중독
- 함수의 극한
- 심화미적
- 중복조합
- 수학1
- 도형과 무한등비급수
- 수열의 극한
- 수학2
- 함수의 그래프와 미분
- 수만휘 교과서
- 경우의 수
- 정적분
- 행렬
Archives
- Today
- Total
수악중독
미적분과 통계기본_중간값의 정리_난이도 중 본문
실수 전체의 집합에서 연속인 함수 \(f(x)\) 가 다음 조건을 만족시킨다.
(가) 모든 실수 \(x\) 에 대하여 \(f(-x)=-f(x)\) 이다.
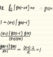
(나) \(\lim \limits_{x \to -1} \dfrac{f(x)-2}{x+1}\) 와 \(\lim \limits_{x \to 2} \dfrac{f(x)-3}{x-2}\) 의 값이 모두 존재한다.
보기에서 옳은 것만을 있는 대로 고른 것은?
ㄱ. 방정식 \(f(x)=0\) 은 열린 구간 \((1, \;2)\) 에서 적어도 \(1\) 개의 실근을 갖는다.
ㄴ. 방정식 \(\log \{f(x)\}^2 = \log f(x)\) 는 열린 구간 \((-1, \;2)\) 에서 적어도 \(2\) 개의 실근을 갖는다.
ㄷ. 방정식 \(4^{ \{f(x) \}^2}=2^{1-f(x)}\) 은 열린 구간 \((-2,\;0)\) 에서 적어도 \(3\) 개의 실근을 갖는다.
① ㄱ ② ㄱ, ㄴ ③ ㄱ, ㄷ ④ ㄴ, ㄷ ⑤ ㄱ, ㄴ, ㄷ
Comments