| 일 | 월 | 화 | 수 | 목 | 금 | 토 |
|---|---|---|---|---|---|---|
| 1 | ||||||
| 2 | 3 | 4 | 5 | 6 | 7 | 8 |
| 9 | 10 | 11 | 12 | 13 | 14 | 15 |
| 16 | 17 | 18 | 19 | 20 | 21 | 22 |
| 23 | 24 | 25 | 26 | 27 | 28 | 29 |
| 30 |
- 심화미적
- 수만휘 교과서
- 함수의 연속
- 도형과 무한등비급수
- 수열
- 미분
- 정적분
- 수학질문
- 수열의 극한
- 이차곡선
- 경우의 수
- 중복조합
- 수학1
- 접선의 방정식
- 수능저격
- 기하와 벡터
- 적분과 통계
- 여러 가지 수열
- 수악중독
- 행렬과 그래프
- 적분
- 수학2
- 미적분과 통계기본
- 이정근
- 함수의 극한
- 함수의 그래프와 미분
- 행렬
- 수학질문답변
- 확률
- 로그함수의 그래프
- Today
- Total
수악중독
수학1_무한급수_도형과 무한등비급수_난이도 상 본문
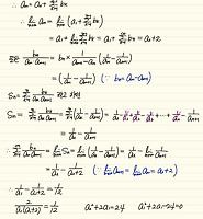
그림과 같이 한 변의 길이가 \(3\) 인 정사각형 \(\rm A_1B_1C_1D_1\) 이 있다. 네 선분 \(\rm A_1B_1\), \( \rm B_1C_1\), \(\rm C_1D_1\), \( \rm D_1A_1\) 을 각각 \(1:2\)로 내분하는 점을 각각 \(\rm E_1,\; F_1,\;G_1,\;H_1\) 이라 하고, 정사각형 \(\rm A_1B_1C_1D_1\) 의 네 꼭짓점을 중심으로 하고 네 선분 \(\rm A_1E_1\), \(\rm B_1F_1, \; C_1G_1, \;D_1H_1\) 을 각각 반지름으로 하는 \(4\) 개의 사분원을 잘라내어 얻은 모양의 도형을 \(R_1\) 이라 하자.
정사각형 \(\rm E_1F_1G_1H_1\) 과 도형 \(R_1\) 과의 교점 중 정사각형 \(\rm E_1F_1G_1H_1\) 의 꼭짓점이 아닌 \(4\) 개의 점을 \(\rm A_2\), \(\rm B_2\), \(\rm C_2\), \(\rm D_2\) 라 하자. 정사각형 \(\rm A_2B_2C_2D_2\) 에서 네 선분 \(\rm A_2B_2\), \(\rm B_2C_2\), \(\rm C_2D_2\), \(\rm D_2A_2\) 를 각각 \(1:2\) 로 내분하는 점을 각각 \(\rm E_2, \;F_2,\; G_2,\; H_2\) 라 하고, 정사각형 \(\rm A_2B_2C_2D_2\) 의 네 꼭짓점을 중심으로 하고 네 선분 \(\rm A_2E_2, \; B_2F_2,\; C_2G_2,\; D_2H_2\) 를 각각 반지름으로 하는 \(\4) 개의 사분원을 잘라내어 얻은 모양의 도형을 \(R_2\) 라 하자.
정사각형 \(\rm E_2F_2G_2H_2\) 에서 도형 \(R_2\) 를 얻는 것과 같은 방법으로 얻은 모양의 도형을 \(R_3\) 이라 하자.
이와 같은 과정을 계속하여 \(n\)번째 얻은 모양의 도형 \(R_n\) 의 넓이를 \(S_n\) 이라 할 때, \(\sum \limits_{n=1}^{\infty} S_n\) 의 값은?
① \(\dfrac{39}{32}(9-\pi)\) ② \(\dfrac{5}{4}(9-\pi)\) ③ \(\dfrac{21}{16}(9-\pi)\)
④ \(\dfrac{11}{8}(9-\pi)\) ⑤ \(\dfrac{45}{32}(9-\pi)\)