| 일 | 월 | 화 | 수 | 목 | 금 | 토 |
|---|---|---|---|---|---|---|
| 1 | 2 | 3 | 4 | 5 | 6 | |
| 7 | 8 | 9 | 10 | 11 | 12 | 13 |
| 14 | 15 | 16 | 17 | 18 | 19 | 20 |
| 21 | 22 | 23 | 24 | 25 | 26 | 27 |
| 28 | 29 | 30 | 31 |
Tags
- 로그함수의 그래프
- 함수의 그래프와 미분
- 적분
- 이정근
- 수만휘 교과서
- 수학1
- 경우의 수
- 수열의 극한
- 수열
- 적분과 통계
- 미분
- 함수의 극한
- 수악중독
- 정적분
- 행렬
- 접선의 방정식
- 도형과 무한등비급수
- 미적분과 통계기본
- 수학질문
- 수학질문답변
- 중복조합
- 수능저격
- 이차곡선
- 함수의 연속
- 기하와 벡터
- 여러 가지 수열
- 심화미적
- 확률
- 수학2
- 행렬과 그래프
Archives
- Today
- Total
수악중독
수학2_미분_극값을 가질 조건_난이도 중 본문
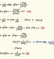
두 상수 \(a,\;b\) 에 대하여 함수 \[f(x)=a \sin x + bx+1\] 이 극값을 가질 때, 다음 중 항상 옳은 것은?
① \(a>b\) ② \(a<b\) ③ \(a^2 > b^2\) ④ \(a^2 <b^2\) ⑤ \(a^2 =b^2\)
Comments