| 일 | 월 | 화 | 수 | 목 | 금 | 토 |
|---|---|---|---|---|---|---|
| 1 | 2 | 3 | 4 | 5 | 6 | |
| 7 | 8 | 9 | 10 | 11 | 12 | 13 |
| 14 | 15 | 16 | 17 | 18 | 19 | 20 |
| 21 | 22 | 23 | 24 | 25 | 26 | 27 |
| 28 | 29 | 30 | 31 |
Tags
- 행렬과 그래프
- 함수의 극한
- 중복조합
- 미분
- 로그함수의 그래프
- 수열
- 이차곡선
- 적분과 통계
- 도형과 무한등비급수
- 정적분
- 수학질문
- 확률
- 미적분과 통계기본
- 수악중독
- 행렬
- 접선의 방정식
- 심화미적
- 적분
- 수능저격
- 이정근
- 경우의 수
- 수학2
- 여러 가지 수열
- 수만휘 교과서
- 수학질문답변
- 기하와 벡터
- 함수의 연속
- 수학1
- 함수의 그래프와 미분
- 수열의 극한
Archives
- Today
- Total
수악중독
미적분과 통계기본_함수의 극한_합성함수의 극한_난이도 상 본문
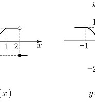
실수 전체의 집합에서 정의된 함수 \(y=f(x)\) 의 그래프가 그림과 같다.
① \(3\) ② \(4\) ③ \(5\) ④ \(6\) ⑤ \(7\)
① \(3\) ② \(4\) ③ \(5\) ④ \(6\) ⑤ \(7\)
Comments