| 일 | 월 | 화 | 수 | 목 | 금 | 토 |
|---|---|---|---|---|---|---|
| 1 | ||||||
| 2 | 3 | 4 | 5 | 6 | 7 | 8 |
| 9 | 10 | 11 | 12 | 13 | 14 | 15 |
| 16 | 17 | 18 | 19 | 20 | 21 | 22 |
| 23 | 24 | 25 | 26 | 27 | 28 | 29 |
| 30 |
Tags
- 이정근
- 미분
- 미적분과 통계기본
- 수학2
- 수악중독
- 수학질문
- 심화미적
- 적분
- 정적분
- 도형과 무한등비급수
- 함수의 연속
- 기하와 벡터
- 함수의 그래프와 미분
- 확률
- 수학1
- 수만휘 교과서
- 함수의 극한
- 수열의 극한
- 수능저격
- 로그함수의 그래프
- 수열
- 수학질문답변
- 적분과 통계
- 이차곡선
- 중복조합
- 행렬
- 행렬과 그래프
- 여러 가지 수열
- 접선의 방정식
- 경우의 수
Archives
- Today
- Total
목록지수 부등식 (3)
수악중독
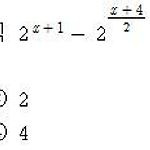
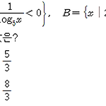
집합 \(A=\left \{ x \;{\Big \lvert } \; 1+{\Large \frac{1}{\log_3 x}} - {\Large \frac{1}{\log_5 x}} 2^{x(x-a+1)} \right \}\) 에 대하여 \(A \subset B\) 이기 위한 \(a\) 의 최솟값은? ① \(\Large \frac {4}{3}\) ② \(\Large \frac {5}{3}\) ③ \(2\) ④ \(\Large \frac {7}{3}\) ⑤ \(\Large \frac {8}{3}\) 정답 ②
(8차) 수학1 질문과 답변/로그와 로그함수
2009. 9. 24. 11:35