| 일 | 월 | 화 | 수 | 목 | 금 | 토 |
|---|---|---|---|---|---|---|
| 1 | ||||||
| 2 | 3 | 4 | 5 | 6 | 7 | 8 |
| 9 | 10 | 11 | 12 | 13 | 14 | 15 |
| 16 | 17 | 18 | 19 | 20 | 21 | 22 |
| 23 | 24 | 25 | 26 | 27 | 28 | 29 |
| 30 |
Tags
- 이정근
- 심화미적
- 함수의 그래프와 미분
- 확률
- 경우의 수
- 적분과 통계
- 수열
- 기하와 벡터
- 적분
- 수만휘 교과서
- 미분
- 미적분과 통계기본
- 수악중독
- 수학질문답변
- 수능저격
- 접선의 방정식
- 수학2
- 수학질문
- 수열의 극한
- 여러 가지 수열
- 함수의 극한
- 도형과 무한등비급수
- 로그함수의 그래프
- 수학1
- 함수의 연속
- 행렬과 그래프
- 행렬
- 이차곡선
- 중복조합
- 정적분
Archives
- Today
- Total
목록점화식 중요형 2번 (1)
수악중독
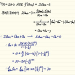
\(a_1 =10,\; a_2 =40\) 인 수열 \(\{a_n \}\) 이 있다. 함수 \(f(x)=x^2 -3x+2\) 에 대하여 닫힌 구간 \([a_n ,\; a_{n+1} ]\) 에서의 평균변화율과 \(x=a_{n+2}\) 에서의 미분계수가 같을 때, \(\lim \limits_{n \to \infty} a_n\) 의 값을 구하시오. (단, \(n\) 은 자연수이다.) 정답 \(30\) 점화식 풀이가 이해가 안가시면 아래 글의 TYPE 4 를 참고하세요. [수능 수학/수능수학] - 점화식 정리
(9차) 미적분 I 문제풀이/미분
2013. 10. 4. 15:34