| 일 | 월 | 화 | 수 | 목 | 금 | 토 |
|---|---|---|---|---|---|---|
| 1 | 2 | 3 | ||||
| 4 | 5 | 6 | 7 | 8 | 9 | 10 |
| 11 | 12 | 13 | 14 | 15 | 16 | 17 |
| 18 | 19 | 20 | 21 | 22 | 23 | 24 |
| 25 | 26 | 27 | 28 | 29 | 30 | 31 |
- 함수의 연속
- 수학질문답변
- 로그함수의 그래프
- 함수의 극한
- 수악중독
- 행렬과 그래프
- 중복조합
- 적분과 통계
- 수학2
- 함수의 그래프와 미분
- 확률
- 정적분
- 미적분과 통계기본
- 접선의 방정식
- 이정근
- 기하와 벡터
- 수학1
- 미분
- 적분
- 수열의 극한
- 수능저격
- 수학질문
- 도형과 무한등비급수
- 심화미적
- 여러 가지 수열
- 수만휘 교과서
- 이차곡선
- 수열
- 행렬
- 경우의 수
- Today
- Total
목록이항분포 (6)
수악중독
$\rm A$ 고등학교 탐구대회에 참가한 $2500$ 명의 학생에게 당일 식사를 제공하기 위해 다섯 개의 큰 식당을 마련하였다. 모든 학생이 임의로 한 식당을 선택해 들어갈 때, 첫 번째로 선택한 식당에서 식사할 수 있는 확률이 $95\%$ 이상이 되게 하려면 각 식당에서 적어도 몇 인분의 식사를 준비해야 하는지 구하시오.(단, ${\rm P}(0 \le Z \le 1.65)=0.450$) 정답 $533$
두 개의 주사위를 \(200\) 회 던질 때, 매회 두 눈의 순의 곱이 \(a\) 이하로 나오면 \(2\) 점씩 받기로 하였다. 받는 점수의 총점의 평균과 분산을 각각 \(m, \; \sigma ^2\) 이라 할 때, \(\sigma ^2 = \dfrac{14}{9}m\) 이 성립하기 위한 상수 \(a\) 의 값은? ① \(4\) ② \(6\) ③ \(8\) ④ \(10\) ⑤ \(15\) 정답 ①
주사위를 \(n\) 번 던질 때 사건 \(A\) 가 \(k\) 번 일어날 확률이 \[{\rm P}(X=k) = \;_n{\rm C}_k \cdot \dfrac{2^k}{3^n}\] 이라 한다. 사건 \(A\) 가 일어나는 횟수를 확률변수 \(X\)라 할 때, \(X\) 의 평균은 \(60\) 이다. \(X\) 의 분산은? ① \(10\) ② \(20\) ③ \(30\) ④ \(40\) ⑤ \(50\) 정답 ②
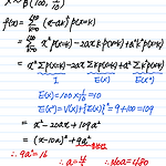
\(10\) 이하의 음이 아닌 정수 \(r\) 에 대하여 함수 \(f\) 를 \[f(r)={\rm _{10}C} _r \left ( \dfrac{1}{2} \right )^{10} \] 이라 할 때, \(2 \sum \limits_{r=0}^{10} r^2 f(r)\) 의 값을 구하시오. 정답 \(55\)
어느 창고에 부품 \(S\) 가 \(3\) 개, 부품 \(T\) 가 \(2\) 개 있는 상태에서 부품 \(2\) 개를 추가로 들여왔다. 추가된 부품은 \(S\) 또는 \(T\) 이고, 추가된 부품 중 \(S\) 의 개수는 이항분포 \({\rm B} \left ( 2,\; \dfrac{1}{2} \right )\) 을 따른다. 이 \(7\) 개의 부품 중 임의로 \(1\) 개를 선택한 것이 \(T\) 일 때, 추가된 부품이 모두 \(S\) 였을 확률은? ① \(\dfrac{1}{6}\) ② \(\dfrac{1}{4}\) ③ \(\dfrac{1}{3}\) ④ \(\dfrac{1}{2}\) ⑤ \(\dfrac{3}{4}\) 정답 ①