| 일 | 월 | 화 | 수 | 목 | 금 | 토 |
|---|---|---|---|---|---|---|
| 1 | 2 | 3 | 4 | 5 | 6 | |
| 7 | 8 | 9 | 10 | 11 | 12 | 13 |
| 14 | 15 | 16 | 17 | 18 | 19 | 20 |
| 21 | 22 | 23 | 24 | 25 | 26 | 27 |
| 28 | 29 | 30 | 31 |
- 수악중독
- 미적분과 통계기본
- 로그함수의 그래프
- 함수의 그래프와 미분
- 기하와 벡터
- 함수의 극한
- 행렬
- 미분
- 도형과 무한등비급수
- 여러 가지 수열
- 이차곡선
- 수열의 극한
- 심화미적
- 경우의 수
- 행렬과 그래프
- 수학2
- 확률
- 적분과 통계
- 수학질문
- 수만휘 교과서
- 수학질문답변
- 정적분
- 이정근
- 접선의 방정식
- 수학1
- 적분
- 수열
- 수능저격
- 중복조합
- 함수의 연속
- Today
- Total
목록수열의 규칙성 찾기 (4)
수악중독
다음 그림은 좌표평면에서 원점을 중심으로 하고 반지름의 길이가 \(1\) 부터 \(1\) 씩 증가하는 원들이 두 직선 \(y=\dfrac{3}{4}, \; y=0\) 과 만나는 점들의 일부를 \(\rm P_1\) 부터 시작하여 화살표 방향을 따라 \(\rm P_1, \;P_2,\;P_3,\; \cdots\) 으로 나타낸 것이다. 점 \(\rm P_{25}\) 의 \(x\) 좌표는? ① \(\dfrac{52}{5}\) ② \(11\) ③ \(\dfrac{56}{5}\) ④ \(12\) ⑤ \(\dfrac{64}{5}\) 정답 ①
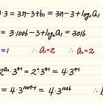
모든 항이 양수인 수열 \(\{a_n \}\) 에 대하여 수열 \(\{b_n \}\) 을 다음과 같이 정의하다. \[{b_n} = \left\{ {\begin{array}{ll}{{{\log }_2}{a_n}}&{\left( {n은 \; 홀수} \right)}\\{{2^{{a_n}}}}&{\left( {n은 \; 짝수} \right)}\end{array}} \right.\] 이때 수열 \(\{b_{2n-1}\}\) 은 공차가 \(3\) 인 등차수열이고, 수열 \(\{b_{2n}\}\) 은 공비가 \(3\) 인 등비수열이라 하자. \(a_1 =a_2 \) 이고 \(b_{2011}=3016\) 일 때, \(b_{2014}\) 의 값은? ① \(2 \cdot 3^{1005}\) ② \(4 \cdot 3^{10..
그림과 같이 \(1\) 행에는 \(1\) 개, \(2\) 행에는 \(2\) 개, \(\cdots\), \(n\) 행에는 \(n\) 개의 원을 나열하고 그 안에 다음 규칙에 따라 \(0\) 또는 \(1\) 을 써 넣는다. (가) \(1\) 행의 원 안에는 \(1\) 을 써 넣는다. (나) \(n \le 2\) 일 때, \(1\) 행부터 \((n-1)\) 행까지 나열된 모든 원 안의 수의 합이 \(n\) 이상이면 \(n\) 행에 나열된 모든 원 안에 \(0\) 을 써 넣고, \(n\) 미만이면 \(n\) 행에 나열된 모든 원 안에 \(1\) 을 써 넣는다. \(1\) 행부터 \(32\) 행까지 나열된 워 안에 써 넣은 모든 수의 합을 구하시오. 정답 63
\(1\) 부터 연속된 자연수를 나열하여 각 자릿수로 다음과 같은 수열을 만들었다.\[1,\;2,\;3,\;4,\;5,\;6,\;7,\;8,\;9,\;1,\;0,\;1,\;1,\;1,\;2,\;1,\;3,\;1,\;4,\;\cdots\] 이 수열의 제 \(n\) 항부터 연속된 네 개의 항이 차례로 \(2,\;0,\;1,\;0\) 일 때, 자연수 \(n\) 의 최솟값은? ① \(2960\) ② \(2964\) ③ \(2968\) ④ \(2972\) ⑤ \(2976\) 정답 ④