| 일 | 월 | 화 | 수 | 목 | 금 | 토 |
|---|---|---|---|---|---|---|
| 1 | 2 | 3 | ||||
| 4 | 5 | 6 | 7 | 8 | 9 | 10 |
| 11 | 12 | 13 | 14 | 15 | 16 | 17 |
| 18 | 19 | 20 | 21 | 22 | 23 | 24 |
| 25 | 26 | 27 | 28 | 29 | 30 | 31 |
Tags
- 로그함수의 그래프
- 함수의 그래프와 미분
- 중복조합
- 수학질문답변
- 여러 가지 수열
- 수학2
- 미적분과 통계기본
- 행렬
- 정적분
- 수악중독
- 수만휘 교과서
- 기하와 벡터
- 수학질문
- 수열
- 수능저격
- 경우의 수
- 미분
- 함수의 연속
- 수학1
- 함수의 극한
- 심화미적
- 이차곡선
- 수열의 극한
- 이정근
- 행렬과 그래프
- 접선의 방정식
- 적분과 통계
- 도형과 무한등비급수
- 확률
- 적분
Archives
- Today
- Total
목록삼각함수 보각 여각 공식 (1)
수악중독
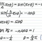
이차정사각행렬 \(A\) 의 \(i,\;j)\) 성분을 \(a_{ij}= \sin \left \{ \dfrac{(i+j)}{2}+\theta \right \} \) 로 정의하자. 행렬 \(A\) 의 모든 성분의 합이 \(1\) 일 때, \(\theta\) 의 값은? (단, \(0 \leq \theta \leq \pi\) 이다. ① \(\dfrac{\pi}{6}\) ② \(\dfrac{\pi}{3}\) ③ \(\dfrac{\pi}{2}\) ④ \(\dfrac{2}{3}\pi\) ⑤ \(\dfrac{3}{4}\pi\) 정답 ④
(8차) 수학1 질문과 답변/행렬과 그래프
2014. 7. 25. 13:40