| 일 | 월 | 화 | 수 | 목 | 금 | 토 |
|---|---|---|---|---|---|---|
| 1 | 2 | 3 | 4 | 5 | 6 | 7 |
| 8 | 9 | 10 | 11 | 12 | 13 | 14 |
| 15 | 16 | 17 | 18 | 19 | 20 | 21 |
| 22 | 23 | 24 | 25 | 26 | 27 | 28 |
| 29 | 30 | 31 |
Tags
- 경우의 수
- 행렬
- 미분
- 기하와 벡터
- 함수의 연속
- 수만휘 교과서
- 함수의 극한
- 수악중독
- 확률
- 수열의 극한
- 적분과 통계
- 로그함수의 그래프
- 적분
- 정적분
- 이정근
- 수학질문답변
- 미적분과 통계기본
- 여러 가지 수열
- 중복조합
- 접선의 방정식
- 이차곡선
- 수학2
- 수학1
- 수능저격
- 도형과 무한등비급수
- 행렬과 그래프
- 함수의 그래프와 미분
- 수열
- 수학질문
- 심화미적
Archives
- Today
- Total
수악중독
속도 거리와 적분_난이도 하 (2021년 10월 전국연합 고3 17번) 본문
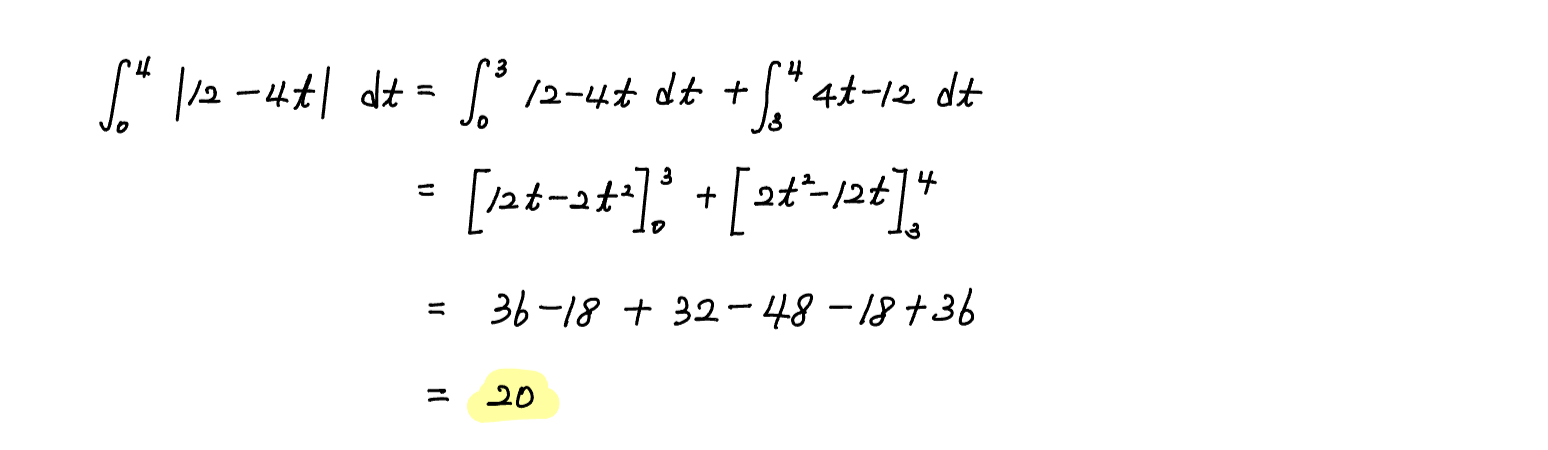
수직선 위를 움직이는 점 $\rm P$ 의 시각 $t\; (t\ge 0)$ 에서의 속도 $v(t)$ 가 $v(t)=12-4t$ 일 때, 시각 $t=0$ 에서 $t=4$ 까지 점 $\rm P$ 가 움직인 거리를 구하시오.
더보기

정답 $20$

Comments