| 일 | 월 | 화 | 수 | 목 | 금 | 토 |
|---|---|---|---|---|---|---|
| 1 | ||||||
| 2 | 3 | 4 | 5 | 6 | 7 | 8 |
| 9 | 10 | 11 | 12 | 13 | 14 | 15 |
| 16 | 17 | 18 | 19 | 20 | 21 | 22 |
| 23 | 24 | 25 | 26 | 27 | 28 | 29 |
| 30 |
Tags
- 적분
- 확률
- 수열의 극한
- 중복조합
- 함수의 연속
- 심화미적
- 정적분
- 수능저격
- 미적분과 통계기본
- 접선의 방정식
- 수만휘 교과서
- 수악중독
- 로그함수의 그래프
- 이정근
- 수학질문
- 수학질문답변
- 함수의 그래프와 미분
- 경우의 수
- 도형과 무한등비급수
- 수학1
- 함수의 극한
- 미분
- 수학2
- 적분과 통계
- 행렬과 그래프
- 행렬
- 기하와 벡터
- 여러 가지 수열
- 이차곡선
- 수열
Archives
- Today
- Total
수악중독
표본평균의 분포_난이도 상 본문
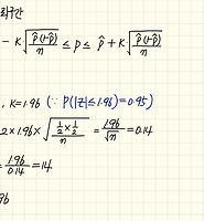
어느 제과점에서 생산하는 식빵의 무게 $X$ 는 평균이 $m$, 표준편차가 $8$ 인 정규분포를 따른다고 한다. ${\rm P}(2m-a \le X \le a) =0.9544$ 일 때, 이 제과점에서 생산하는 식빵 중에서 임의로 추출한 $16$ 개의 식빵의 무게의 표본평균을 $\overline{X}$ 라 하자. $10000 \times {\rm P} \left ( \left | \overline{X}-a+12 \right | \le 1 \right )$ 의 값을 위의 표준정규분포표를 이용하여 구하시오. (단, $a$ 는 $m$ 보다 큰 상수이고, 무게의 단위는 $\rm g$ 이다.)
Comments