| 일 | 월 | 화 | 수 | 목 | 금 | 토 |
|---|---|---|---|---|---|---|
| 1 | ||||||
| 2 | 3 | 4 | 5 | 6 | 7 | 8 |
| 9 | 10 | 11 | 12 | 13 | 14 | 15 |
| 16 | 17 | 18 | 19 | 20 | 21 | 22 |
| 23 | 24 | 25 | 26 | 27 | 28 | 29 |
| 30 |
Tags
- 도형과 무한등비급수
- 기하와 벡터
- 심화미적
- 수열의 극한
- 수만휘 교과서
- 수학1
- 적분
- 적분과 통계
- 미적분과 통계기본
- 확률
- 행렬
- 행렬과 그래프
- 함수의 그래프와 미분
- 이정근
- 로그함수의 그래프
- 함수의 극한
- 수열
- 정적분
- 수학2
- 수악중독
- 수학질문답변
- 미분
- 수능저격
- 이차곡선
- 수학질문
- 접선의 방정식
- 중복조합
- 여러 가지 수열
- 함수의 연속
- 경우의 수
Archives
- Today
- Total
수악중독
수학2_미분_미분가능성_난이도 상 본문
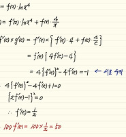
두 함수 \(f(x)=xe^{-x+a}\) 와 \(g(x)=-x+b\) 에 대하여 함수 \(y=|f(x)-g(x)|\) 가 모든 실수 \(x\) 에서 미분가능하도록 상수 \(a, \;b\) 의 값을 정하 때, \(a+b\) 의 값을 구하시오.
(단, \(\lim \limits_{x \to \infty} \dfrac{x}{e^x}=0\) 이다.)
Comments