| 일 | 월 | 화 | 수 | 목 | 금 | 토 |
|---|---|---|---|---|---|---|
| 1 | ||||||
| 2 | 3 | 4 | 5 | 6 | 7 | 8 |
| 9 | 10 | 11 | 12 | 13 | 14 | 15 |
| 16 | 17 | 18 | 19 | 20 | 21 | 22 |
| 23 | 24 | 25 | 26 | 27 | 28 | 29 |
| 30 |
Tags
- 도형과 무한등비급수
- 중복조합
- 여러 가지 수열
- 이차곡선
- 확률
- 행렬
- 정적분
- 로그함수의 그래프
- 함수의 그래프와 미분
- 수열의 극한
- 수학2
- 적분과 통계
- 함수의 극한
- 행렬과 그래프
- 수만휘 교과서
- 수악중독
- 수학질문답변
- 심화미적
- 미적분과 통계기본
- 경우의 수
- 기하와 벡터
- 적분
- 함수의 연속
- 수학질문
- 미분
- 접선의 방정식
- 수학1
- 수열
- 이정근
- 수능저격
Archives
- Today
- Total
수악중독
수학1_수열의 극한_점화식과 극한_난이도 중 본문
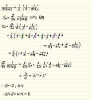
어느 강 상류와 하류에 각각 위치한 \(1\) 호 댐과 \(2\) 호 댐이 있다. 강 상류의 \(1\) 호 댐으로부터 \(2\) 호 댐으로 매일 \(100\) 만톤의 물이 유입되고, 정오에 \(2\) 호 댐의 저수량을 측정한다. 정오부터는 측정된 저수량의 \(2%\) 를 농업용수와 생활용수 등을 위하여 강 하류로 방류한다고 한다. 매일 이와 같은 과정이 한없이 반복된다고 할 때, 정오에 측정되는 \(2\) 호 댐의 저수량은 어떤 값에 한없이 가까워지는가? (단 방류는 그날 중으로 이루어지고 자연 증발 및 기타 유실량은 무시한다.)
① \(4400\) 톤 ② \(4600\) 톤 ③ \(4800\) 톤
④ \(5000\) 톤 ⑤ \(5200\) 톤
Comments