관리 메뉴


수악중독

미적분과 통계기본_확률_난이도 상 본문

(9차) 확률과 통계 문제풀이/확률

미적분과 통계기본_확률_난이도 상

수악중독 2013. 10. 4. 17:04

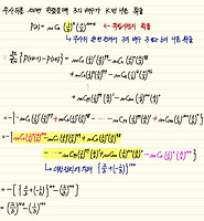
\(\rm A,\;B,\;C,\;D\) 네 개의 작업장을 가지고 있는 \(\rm K\) 회사는 매일 아침 종업원들에게 작업장을 지정하여 근무하게 한다. 이때, 각 종업원은 전날 근무한 작업장을 제외한 나머지 작업장 중 한 작업장에 임의로 배정된다. 월요일에 갑은 \(\rm A\) 작업장에서, 을은 \(\rm B\) 작업장에서 근무하였을 때, 그 주의 수요일에 그 주에 처음으로 갑, 을 두사람이 같은 작업장에서 근무하게 될 확률은 \(\dfrac{b}{a}\) 이다. 이때, \(a+b\) 의 값을 구하시오. (단, \(a, \;b\) 는 서로소인 자연수이다.)

 

더보기

 

정답 \(95\)

 

Comments