| 일 | 월 | 화 | 수 | 목 | 금 | 토 |
|---|---|---|---|---|---|---|
| 1 | ||||||
| 2 | 3 | 4 | 5 | 6 | 7 | 8 |
| 9 | 10 | 11 | 12 | 13 | 14 | 15 |
| 16 | 17 | 18 | 19 | 20 | 21 | 22 |
| 23 | 24 | 25 | 26 | 27 | 28 | 29 |
| 30 |
Tags
- 함수의 연속
- 정적분
- 수학질문
- 함수의 그래프와 미분
- 수악중독
- 확률
- 수학2
- 기하와 벡터
- 미적분과 통계기본
- 적분과 통계
- 이차곡선
- 이정근
- 수능저격
- 로그함수의 그래프
- 경우의 수
- 중복조합
- 접선의 방정식
- 수학1
- 심화미적
- 함수의 극한
- 행렬과 그래프
- 적분
- 수열의 극한
- 행렬
- 수열
- 도형과 무한등비급수
- 미분
- 여러 가지 수열
- 수만휘 교과서
- 수학질문답변
Archives
- Today
- Total
목록표준편차의 성질 (1)
수악중독
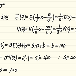
\(2005\) 학년도 대학수학능력시험 수리영역의 원점수 \(X\) 의 평균을 \(m\), 표준편차를 \(\sigma\) 라 할 때 표준점수 \(T\) 는 \[T=a \left ( \dfrac{X-m}{\sigma} \right ) +b \;\; (단, \; a>0)\] 꼴로 나타내어진다. 수리영역의 표준점수 \(T\) 가 평균이 \(100\), 표준편차가 \(20\) 인 분포를 이룬다고 할 때, 두 상수 \(a,\;b\) 의 합 \(a+b\) 의 값은? ① \(80\) ② \(90\) ③ \(100\) ④ \(110\) ⑤ \(120\) 정답 ⑤
(9차) 확률과 통계 문제풀이/통계
2013. 7. 21. 19:07