| 일 | 월 | 화 | 수 | 목 | 금 | 토 |
|---|---|---|---|---|---|---|
| 1 | 2 | 3 | 4 | 5 | 6 | |
| 7 | 8 | 9 | 10 | 11 | 12 | 13 |
| 14 | 15 | 16 | 17 | 18 | 19 | 20 |
| 21 | 22 | 23 | 24 | 25 | 26 | 27 |
| 28 | 29 | 30 | 31 |
- 함수의 극한
- 함수의 그래프와 미분
- 도형과 무한등비급수
- 중복조합
- 수열
- 접선의 방정식
- 수학1
- 수만휘 교과서
- 수열의 극한
- 함수의 연속
- 수학질문답변
- 확률
- 로그함수의 그래프
- 여러 가지 수열
- 수학2
- 경우의 수
- 정적분
- 적분과 통계
- 행렬
- 수학질문
- 심화미적
- 적분
- 기하와 벡터
- 수악중독
- 이정근
- 미적분과 통계기본
- 미분
- 수능저격
- 행렬과 그래프
- 이차곡선
- Today
- Total
목록지수법칙 (15)
수악중독
거듭제곱근 지수법칙 관련 예제 거듭제곱근의 정의_난이도 하 거듭제곱근_난이도 중 거듭제곱근의 정의_난이도 중 거듭제곱근의 성질_난이도 중 거듭제곱근의 계산_난이도 중 거듭제곱근과 지수법칙_난이도 중 거듭제곱근의_난이도 중 거듭제곱근_난이도 중 거듭제곱_난이도 중 지수법칙_난이도 하 지수법칙_난이도 하 지수법칙_난이도 하 지수법칙_난이도 중 지수법칙_난이도 중 지수법칙_난이도 중 지수법칙_난이도 중 지수법칙_난이도 중 지수법칙_난이도 중 지수법칙_난이도 중 지수법칙_난이도 중 지수법칙의 활용_난이도 하 지수법칙의 활용_난이도 중 지수법칙의 활용_난이도 중 지수법칙의 활용_난이도 중 이전 다음
\(x=\sqrt[4]{2}- \dfrac{1}{\sqrt[4]{2}}\) 일 때, \(\sqrt{x^2+4}\) 의 값은? ① \(\sqrt{2}-\dfrac{1}{\sqrt{2}}\) ② \(\sqrt{2}+\dfrac{1}{\sqrt{2}}\) ③ \(\sqrt[4]{2}-\dfrac{1}{\sqrt[4]{2}}\) ④ \(\sqrt[4]{2}+\dfrac{1}{\sqrt[4]{2}}\) ⑤ \(\sqrt[5]{2}+\dfrac{1}{\sqrt[5]{2}}\) 정답 ④
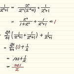
다음 식의 값은? \(\dfrac{1}{2^{-100}+1}+\dfrac{1}{2^{-99}+1}+\cdots+\dfrac{1}{2^{-1}+1}+\dfrac{1}{2^{0}+1}\) \(+\dfrac{1}{2^{1}+1}+\cdots+\dfrac{1}{2^{99}+1}+\dfrac{1}{2^{100}+1}\) ① \(50\) ② \(\dfrac{101}{2}\) ③ \(100\) ④ \(\dfrac{201}{2}\) ⑤ \(200\) 정답 ④
\(x=2^{\frac{1}{4}}+2^{-\frac{1}{4}}\) 일 때, \(\sqrt{x^2-4}+x\) 의 값은? ① \(2^{\frac{1}{4}}\) ② \(2^{\frac{3}{4}}\) ③ \(2^{\frac{5}{4}}\) ④ \(2^{\frac{7}{4}}\) ⑤ \(2^{\frac{9}{4}}\) 정답 ③
등식 \(2^a=5^b\) 을 만족시키는 양의 실수 \(a, \;b\) 에 대하여 옳은 것만을 보기에서 있는 대로 고른 것은? ㄱ. \(b=\dfrac{1}{2}\) 이면 \(a=\log_4 5\) 이다. ㄴ. \(2
실수 전체의 집합에서 양의 실수의 집합으로 대응되는 함수 \(f(x)\) 가 임의의 실수 \(a, \;b\) 에 대하여 \(f(ab)={f(b)}^a\) 을 만족할 때, \(f \left ( \dfrac{1}{2} \right ) + f \left ( \dfrac{1}{3} \right ) + f \left ( \dfrac{1}{6} \right ) \) 의 값은? (단, \(f(1)=64\) ) ① \(12\) ② \(13\) ③ \(14\) ④ \(15\) ⑤ \(16\) 정답 ③
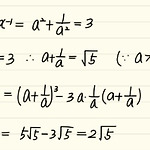
\(x+x^{-1}=3\) 일 때, \(x^{\frac{3}{2}}+x^{-\frac{3}{2}}\) 의 값은? ① \(\sqrt{3}\) ② \(2\sqrt{3}\) ③ \(4\) ④ \(3\sqrt{2}\) ⑤ \(2\sqrt{5}\) 정답 ⑤
\(abc=24\) 인 세 실수 \(a,\;b,\;c\) 가 있다. \(2^a=3^2,\; 3^b=5^3\) 일 때, \(5^c\) 의 값을 구하시오. 정답 \(16\)
과거 \(n\) 년 동안 매출액이 \(a\) 원에서 \(b\) 원으로 변했을 때, 연평균 성장률은 \[연평균\; 성장률 \; = \left (\dfrac{b}{a} \right ) ^{\frac{1}{n}} -1\] 로 나타내어 진다. 다음은 두 회사 \(\rm A, \; B\) 의 매출액을 나타낸 표이다. 이때, \(1998\) 년 말부터 \(2008\) 년 말까지 \(10\) 년 동안 \(\rm B\) 회사의 연평균 성장률은 \(\rm A\) 회사의 \(k\) 배이다. \(100k\) 의 값을 구하시오. \(\left ( 단, \; 2^{\frac{11}{10}}=2.14 \;로 \; 계산한다.\right )\) 정답 \(207\)