| 일 | 월 | 화 | 수 | 목 | 금 | 토 |
|---|---|---|---|---|---|---|
| 1 | ||||||
| 2 | 3 | 4 | 5 | 6 | 7 | 8 |
| 9 | 10 | 11 | 12 | 13 | 14 | 15 |
| 16 | 17 | 18 | 19 | 20 | 21 | 22 |
| 23 | 24 | 25 | 26 | 27 | 28 | 29 |
| 30 |
Tags
- 적분과 통계
- 이정근
- 이차곡선
- 수학질문
- 미적분과 통계기본
- 경우의 수
- 함수의 극한
- 심화미적
- 함수의 연속
- 로그함수의 그래프
- 수학질문답변
- 행렬과 그래프
- 적분
- 미분
- 수학2
- 함수의 그래프와 미분
- 도형과 무한등비급수
- 수열
- 수악중독
- 중복조합
- 행렬
- 정적분
- 기하와 벡터
- 여러 가지 수열
- 수학1
- 확률
- 수열의 극한
- 수만휘 교과서
- 접선의 방정식
- 수능저격
Archives
- Today
- Total
목록수열의 합과 일반항과의 관계 (1)
수악중독
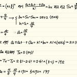
수열 \(\{a_n\}\) 에서 \[\sum \limits_{k=1}^{n} \dfrac{a_1 + a_2 + \cdots + a_k }{k!} = \left ( n+ \dfrac{3}{2} \right ) ^2 \;\; (n=1,\;2,\;3,\; \cdots )\] 일 때, \(\dfrac{4}{5}a_1 +a_4\) 의 값은? ① \(197\) ② \(198\) ③ \(199\) ④ \(200\) ⑤ \(201\) 정답 ①
(8차) 수학1 질문과 답변/수열
2013. 10. 15. 08:45