| 일 | 월 | 화 | 수 | 목 | 금 | 토 |
|---|---|---|---|---|---|---|
| 1 | 2 | 3 | ||||
| 4 | 5 | 6 | 7 | 8 | 9 | 10 |
| 11 | 12 | 13 | 14 | 15 | 16 | 17 |
| 18 | 19 | 20 | 21 | 22 | 23 | 24 |
| 25 | 26 | 27 | 28 | 29 | 30 | 31 |
Tags
- 미적분과 통계기본
- 도형과 무한등비급수
- 여러 가지 수열
- 중복조합
- 수학질문
- 행렬과 그래프
- 로그함수의 그래프
- 경우의 수
- 수악중독
- 정적분
- 이정근
- 심화미적
- 적분
- 함수의 그래프와 미분
- 미분
- 확률
- 수능저격
- 함수의 극한
- 행렬
- 이차곡선
- 수만휘 교과서
- 적분과 통계
- 함수의 연속
- 접선의 방정식
- 수학1
- 기하와 벡터
- 수열의 극한
- 수열
- 수학2
- 수학질문답변
Archives
- Today
- Total
목록거듭제곱근의 성질 (2)
수악중독
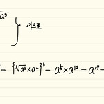
\(a>0, \; a \ne 1\) 에 대하여 \({\left\{ {\dfrac{{\sqrt {{a^3}} }}{{\sqrt {\sqrt[3]{{{a^4}}}} }} \times \sqrt {{{\left( {\dfrac{1}{a}} \right)}^{ - 4}}} } \right\}^6} = {a^k}\) 일 때, 상수 \(k\) 의 값을 구하시오. 정답 \(17\)
(8차) 수학1 질문과 답변/지수와 지수함수
2014. 1. 23. 23:41
\(\sqrt{\dfrac{1}{\sqrt[3]{2}-1} + \sqrt[3]{2}}\) 에 가장 가까운 자연수를 \(a\) 라 할 때, \(\dfrac{\left ( 1+ \sqrt[a]{a^3} \right ) \left ( 1- \sqrt[a]{a^3} \right ) }{ \left ( 1+ \sqrt[a]{a} \right ) \left ( 1- \sqrt[a]{a} \right ) } \) 의 값은? ① \(5\) ② \(7\) ③ \(9\) ④ \(11\) ⑤ \(13\) 정답 ②
(8차) 수학1 질문과 답변/지수와 지수함수
2013. 9. 27. 17:02