관리 메뉴


수악중독

정규분포의 특징&정규분포의 표준화_난이도 중 (2024년 11월 수능 확통 29번) 본문

확률과 통계 - 문제풀이/통계

정규분포의 특징&정규분포의 표준화_난이도 중 (2024년 11월 수능 확통 29번)

수악중독 2024. 11. 15. 00:01

 

 

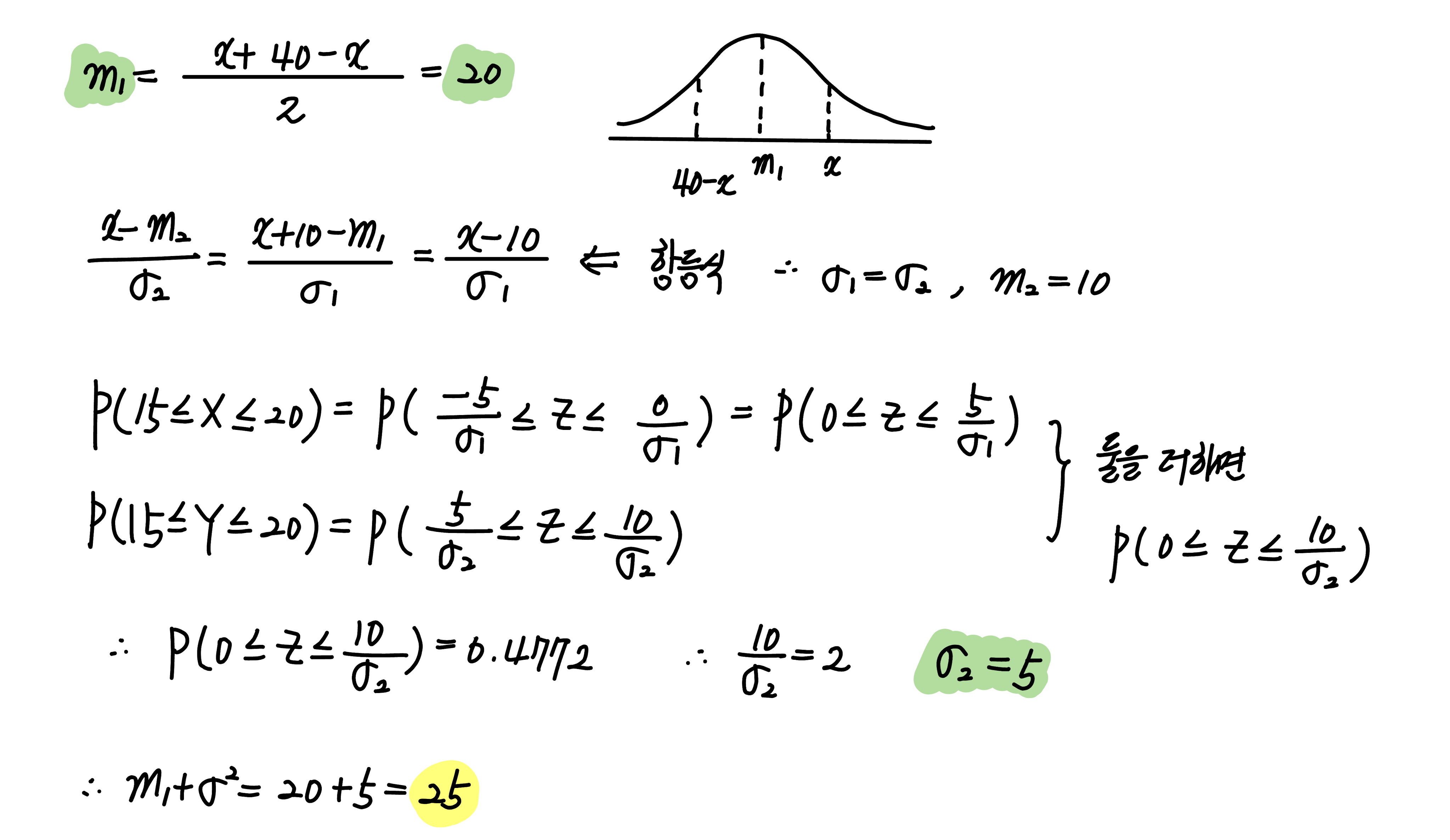
정규분포 $\mathrm{N} \left (m_1, \; \sigma_1^2 \right )$ 을 따르는 확률변수 $X$ 와 정규분포 $\mathrm{N} \left ( m_2, \; \sigma_2^2 \right )$ 을 따르는 확률변수 $Y$ 가 다음 조건을 만족시킨다. 

 

모든 실수 $x$ 에 대하여 

$\mathrm{P}(X \le x) = \mathrm{P}(X \ge 40-x)$ 이고

$\mathrm{P}(Y \le x) = \mathrm{P}(X \le x+10)$ 이다.

 

$\mathrm{P}(15 \le X \le 20)+\mathrm{P}(15 \le Y \le 20)$ 의 값을 아래 표준정규분포표를 이용하여 구한 것이 $0.4772$ 일 때, $m_1 + \sigma_2$ 의 값을 구하시오. (단, $\sigma_1$ 과 $\sigma_2$ 는 양수이다.)

 

 

더보기

정답  $25$

Comments