| 일 | 월 | 화 | 수 | 목 | 금 | 토 |
|---|---|---|---|---|---|---|
| 1 | 2 | 3 | ||||
| 4 | 5 | 6 | 7 | 8 | 9 | 10 |
| 11 | 12 | 13 | 14 | 15 | 16 | 17 |
| 18 | 19 | 20 | 21 | 22 | 23 | 24 |
| 25 | 26 | 27 | 28 | 29 | 30 | 31 |
Tags
- 접선의 방정식
- 수열
- 이차곡선
- 함수의 연속
- 함수의 극한
- 로그함수의 그래프
- 수악중독
- 미적분과 통계기본
- 정적분
- 행렬과 그래프
- 확률
- 적분과 통계
- 중복조합
- 수학2
- 심화미적
- 기하와 벡터
- 수학1
- 미분
- 수능저격
- 수열의 극한
- 경우의 수
- 함수의 그래프와 미분
- 여러 가지 수열
- 수만휘 교과서
- 도형과 무한등비급수
- 행렬
- 이정근
- 적분
- 수학질문
- 수학질문답변
Archives
- Today
- Total
수악중독
여러 가지 수열_점화식_난이도 중 (2023년 9월 평가원 고3 12번) 본문
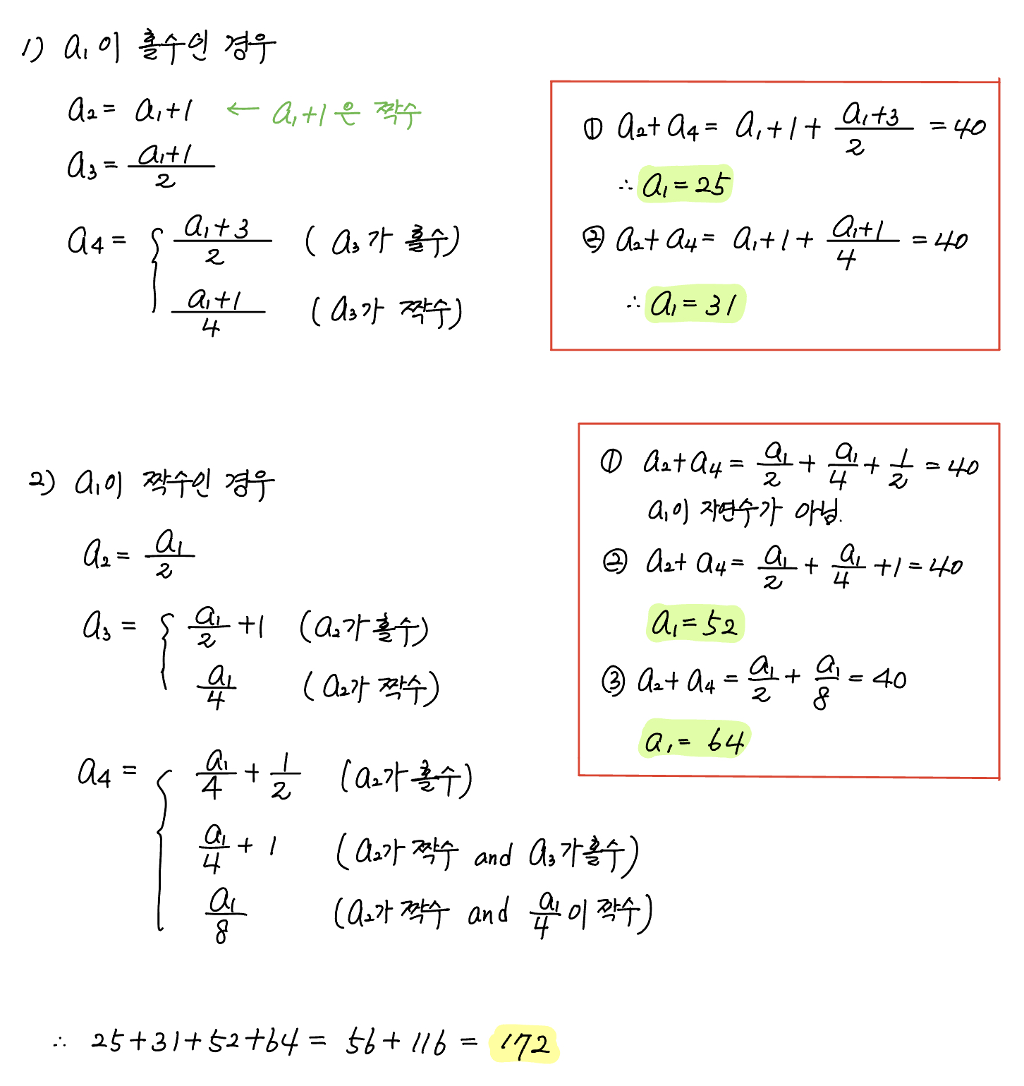
첫째항이 자연수인 수열 $\{a_n\}$ 이 모든 자연수 $n$ 에 대하여 $$a_{n+1}= \begin{cases} a_n +1 & (a_n\text{이 홀수인 경우}) \\[5pt] \dfrac{1}{2}a_n & (a_n\text{이 짝수인 경우})\end{cases}$$ 를 만족시킬 때, $a_2+a_4=40$ 이 되도록 하는 모든 $a_1$ 의 값의 합은?
① $172$ ② $175$ ③ $178$ ④ $181$ ⑤ $184$
더보기

정답 ①

Comments