| 일 | 월 | 화 | 수 | 목 | 금 | 토 |
|---|---|---|---|---|---|---|
| 1 | 2 | 3 | 4 | 5 | 6 | 7 |
| 8 | 9 | 10 | 11 | 12 | 13 | 14 |
| 15 | 16 | 17 | 18 | 19 | 20 | 21 |
| 22 | 23 | 24 | 25 | 26 | 27 | 28 |
| 29 | 30 | 31 |
Tags
- 미분
- 수악중독
- 정적분
- 수열의 극한
- 함수의 그래프와 미분
- 함수의 극한
- 이차곡선
- 행렬
- 여러 가지 수열
- 행렬과 그래프
- 수학1
- 수만휘 교과서
- 미적분과 통계기본
- 이정근
- 중복조합
- 도형과 무한등비급수
- 적분과 통계
- 함수의 연속
- 수능저격
- 심화미적
- 적분
- 기하와 벡터
- 접선의 방정식
- 수열
- 수학질문
- 확률
- 로그함수의 그래프
- 수학질문답변
- 수학2
- 경우의 수
Archives
- Today
- Total
수악중독
여러 가지 수열 및 수열의 합_난이도 중 (2021년 9월 전국연합 고2 28번) 본문
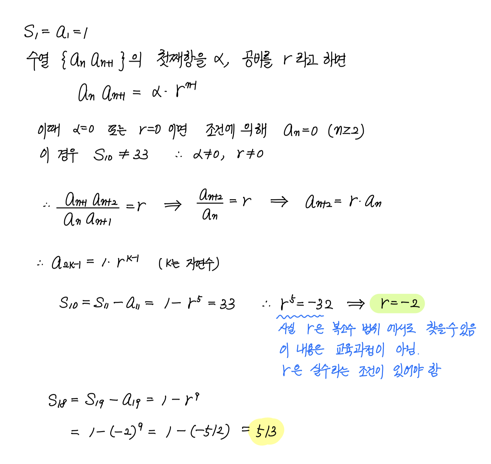
수열 $\{a_n\}$ 의 첫째항부터 제 $n$ 항까지의 합을 $S_n$ 이라 할 때, 수열 $\{a_n\}$ 이 모든 자연수 $n$ 에 대하여 다음 조건을 만족시킨다.
(가) $S_{2n-1}=1$
(나) 수열 $ \{a_n a_{n+1} \}$ 은 등비수열이다.
$S_{10}=33$ 일 때, $S_{18}$ 의 값을 구하시오.
더보기

정답 $513$

Comments