| 일 | 월 | 화 | 수 | 목 | 금 | 토 |
|---|---|---|---|---|---|---|
| 1 | ||||||
| 2 | 3 | 4 | 5 | 6 | 7 | 8 |
| 9 | 10 | 11 | 12 | 13 | 14 | 15 |
| 16 | 17 | 18 | 19 | 20 | 21 | 22 |
| 23 | 24 | 25 | 26 | 27 | 28 | 29 |
| 30 |
- 수능저격
- 적분
- 수학2
- 수학1
- 함수의 연속
- 함수의 극한
- 수학질문
- 함수의 그래프와 미분
- 여러 가지 수열
- 수학질문답변
- 중복조합
- 이정근
- 정적분
- 기하와 벡터
- 접선의 방정식
- 경우의 수
- 행렬과 그래프
- 미분
- 행렬
- 확률
- 로그함수의 그래프
- 수악중독
- 적분과 통계
- 이차곡선
- 수만휘 교과서
- 수열의 극한
- 심화미적
- 수열
- 미적분과 통계기본
- 도형과 무한등비급수
- Today
- Total
목록미적분과 통계기본 (526)
수악중독
\(\left ( 1-2x \right )^9 = a_0 + a_1 x +a_2 x^2 + \cdots + a_9 x^9 \) 에 대하여 \(\log _3 \left ( |a_0|+|a_1|+ \cdots +|a_9| \right )\) 의 값은? ① \(3\) ② \(6\) ③ \(9\) ④ \(12\) ⑤ \(15\) 정답 ③
다항식 \(\sum \limits_{k=1}^{10} (1+x)^k\) 의 전개식에 대한 의 설명 중 옳은 것을 모두 고르면? ㄱ. 상수항은 \(10\) 이다. ㄴ. 상수항을 포함한 모든 계수의 합은 \(2046\) 이다. ㄷ. \(x^n\) 의 계수는 \( _{11} {\rm C} _{n+1}\) 이다. (단, \(n=1,\;2,\; \cdots ,\; 10\)) ① ㄱ ② ㄴ ③ ㄱ, ㄷ ④ ㄴ, ㄷ ⑤ ㄱ, ㄴ, ㄷ 정답 ⑤
그림과 같이 좌표평면에서 중심이 원점 \(\rm O\) 이고 반지름의 길이가 \(r\) 인 원의 \(x\) 축 윗부분에 있는 반원이 \(y\) 축 및 무리함수 \(y=\sqrt{3x}\) 의 그래프와 만나는 점을 각각 \(\rm A,\;B\) 라 하자. 직선 \(\rm AB\) 와 \(x\) 축의 교점을 \({\rm C}(k, \;0)\) 이라 할 때, \(\lim \limits_{r \to +0} k\) 의 값은? ① \(2\) ② \(3\) ③ \(4\) ④ \(5\) ⑤ \(6\) 정답 ⑤
그림과 같이 \(\overline{\rm AB}=2\) 인 선분 \(\rm AB\) 를 지름으로 하는 원 \(O_1\) 과 반지름의 길이가 \(r\) 인 원 \(O_2\) 가 점 \(\rm B\) 에서 내접하고 있다. 점 \(\rm A\) 에서 원 \(O_2\) 에 그은 접선의 접점을 \(\rm P\) , 이 접선이 원 \(O_1\) 과 만나는 점 중 \(\rm A\) 가 아닌 점을 \(\rm Q\) 라 할 때, \(\lim \limits_{r \to +0} \dfrac{\overline{\rm PQ}}{r}\) 의 값을 구하시오. 정답 \(1\)
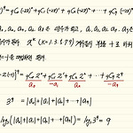
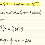
자연수 \(n\) 에 대하여 \[ f(n)=\sum \limits_{k=1}^{n} \left ( _{2k} {\rm C}_1 + _{2k} {\rm C} _3 + _{2k} {\rm C}_5 + \cdots + _{2k} {\rm C}_{2k-1} \right ) \] 일 때, \(f(5)\) 의 값을 구하시오. 정답 \(682\) [수능 수학/수능수학] - 이항계수의 성질
\(\left \{ (a+b)^3 +c \right \}^5\) 의 전개식에서 서로 다른 항의 개수는? ① \(48\) ② \(51\) ③ \(54\) ④ \(57\) ⑤ \(60\) 정답 ②
같은 종류의 선물 \(4\) 개를 \(4\) 명의 학생에게 남김없이 나누어 줄 때, \(2\) 명의 학생만 선물을 받는 경우의 수는? (단, 선물끼리는 서로 구별하지 않는다.) ① \(18\) ② \(21\) ③ \(24\) ④ \(30\) ⑤ \(36\) 정답 ①
집합 \(X=\{ 1, \;2,\;3,\;4,\;5\}\) 에 대하여 집합 \(X\) 에서 집합 \(X\) 로의 함수 \(f\) 중 다음 조건을 만족하는 함수의 개수는? (가) 집합 \(X\) 의 임의의 짝수인 두 원소 \(i,\;j\) 에 대하여 \(i
다항식 \(2(x+a)^n\) 의 전개식에서 \(x^{n-1}\) 의 계수와 다항식 \((x-1)(x+a)^n\) 의 전개식에서 \(x^{n-1}\) 의 계수가 같게 되는 모든 순서쌍 \((a,\;n)\) 에 대하여 \(an\) 의 최댓값을 구하시오. (단, \(a\) 는 자연수이고, \(n\) 은 \(n\geq 2\) 인 자연수이다.) 정답 \(12\)
함수 \(f\left( x \right) = \left\{ {\begin{array}{ll}{x\left( {x - 1} \right)}&{\left( {\left| x \right| > 1} \right)}\\{ - {x^2} + ax + b}&{\left( {\left| x \right| \le 1} \right)}\end{array}} \right.\) 가 모든 실수 \(x\) 에서 연속이 되도록 상수 \(a,\;b\) 의 값을 정할 때, \(a-b\) 의 값은? ① \(-3\) ② \(-1\) ③ \(0\) ④ \(1\) ⑤ \(3\) 정답 ①