| 일 | 월 | 화 | 수 | 목 | 금 | 토 |
|---|---|---|---|---|---|---|
| 1 | 2 | 3 | 4 | 5 | 6 | |
| 7 | 8 | 9 | 10 | 11 | 12 | 13 |
| 14 | 15 | 16 | 17 | 18 | 19 | 20 |
| 21 | 22 | 23 | 24 | 25 | 26 | 27 |
| 28 | 29 | 30 | 31 |
Tags
- 여러 가지 수열
- 경우의 수
- 행렬과 그래프
- 함수의 극한
- 함수의 연속
- 행렬
- 이차곡선
- 수만휘 교과서
- 정적분
- 적분과 통계
- 로그함수의 그래프
- 심화미적
- 수능저격
- 기하와 벡터
- 수악중독
- 확률
- 수학질문답변
- 접선의 방정식
- 이정근
- 도형과 무한등비급수
- 수학1
- 수학2
- 미분
- 수열
- 적분
- 미적분과 통계기본
- 함수의 그래프와 미분
- 중복조합
- 수열의 극한
- 수학질문
Archives
- Today
- Total
목록2015년 7월 교육청 A형 28번 (1)
수악중독
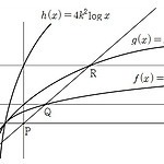
그림과 같이 세 로그함수 \(f(x)=k \log x\), \(g(x)=k^2 \log x\), \(h(x)=4k^2 \log x\) 의 그래프가 있다. 점 \(\rm P(2, \;0)\) 을 지나고 \(y\) 축에 평행한 직선이 두 곡선 \(y=g(x), \; y=h(x)\) 와 만나는 점의 \(y\) 좌표를 각각 \(p ,\; q\) 라 하자. 직선 \(y=p\) 와 곡선 \(y=f(x)\) 가 만나는 점을 \({\rm Q}(a, \;p)\), 직선 \(y=q\) 와 곡선 \(y=g(x)\) 가 만나는 점을 \({\rm R}(b, \;q)\) 라 하자. 세 점 \(\rm P, \;Q, \;R\) 가 한 직선 위에 있을 때, 두 실수 \(a, \; b\) 의 곱 \(ab\) 의 값을 구하시오. (단, ..
(8차) 수학1 질문과 답변/로그와 로그함수
2015. 7. 16. 11:14