| 일 | 월 | 화 | 수 | 목 | 금 | 토 |
|---|---|---|---|---|---|---|
| 1 | ||||||
| 2 | 3 | 4 | 5 | 6 | 7 | 8 |
| 9 | 10 | 11 | 12 | 13 | 14 | 15 |
| 16 | 17 | 18 | 19 | 20 | 21 | 22 |
| 23 | 24 | 25 | 26 | 27 | 28 | 29 |
| 30 |
Tags
- 미적분과 통계기본
- 미분
- 수열의 극한
- 이정근
- 경우의 수
- 정적분
- 로그함수의 그래프
- 수능저격
- 수악중독
- 수학질문
- 도형과 무한등비급수
- 수열
- 수학질문답변
- 확률
- 이차곡선
- 접선의 방정식
- 함수의 그래프와 미분
- 행렬과 그래프
- 적분과 통계
- 심화미적
- 여러 가지 수열
- 함수의 연속
- 적분
- 수만휘 교과서
- 수학2
- 함수의 극한
- 행렬
- 수학1
- 중복조합
- 기하와 벡터
Archives
- Today
- Total
목록수열의 극한의 성질 (1)
수악중독
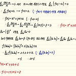
첫째항과 공비가 모두 \(\dfrac{3}{5}\) 인 등비수열 \(\{a_n \}\) 과 수렴하는 수열 \(\{b_n \}\) 이 있다. 이차항의 계수가 \(1\) 인 이차함수 \(f(x)\) 가 다음 조건을 만족시킬 때, \(f(1)\) 의 값은? (가) \(\lim \limits_{x \to 0} \dfrac{f(x)-a}{x} = 3\) (단, \(a\) 는 상수이다.) (나) \(\lim \limits_{n \to \infty} f (a_n b_n ) =4\) ① \(6\) ② \(7\) ③ \(8\) ④ \(9\) ⑤ \(10\) 정답 ③
(9차) 미적분 I 문제풀이/함수의 극한 및 연속
2013. 10. 2. 22:02