| 일 | 월 | 화 | 수 | 목 | 금 | 토 |
|---|---|---|---|---|---|---|
| 1 | 2 | 3 | 4 | |||
| 5 | 6 | 7 | 8 | 9 | 10 | 11 |
| 12 | 13 | 14 | 15 | 16 | 17 | 18 |
| 19 | 20 | 21 | 22 | 23 | 24 | 25 |
| 26 | 27 | 28 | 29 | 30 |
Tags
- 행렬
- 수학2
- 함수의 극한
- 도형과 무한등비급수
- 적분
- 미적분과 통계기본
- 중복조합
- 여러 가지 수열
- 접선의 방정식
- 수열의 극한
- 수학질문답변
- 수학질문
- 수학1
- 수열
- 이차곡선
- 수만휘 교과서
- 로그함수의 그래프
- 확률
- 경우의 수
- 함수의 연속
- 심화미적
- 기하와 벡터
- 수능저격
- 수악중독
- 함수의 그래프와 미분
- 적분과 통계
- 이정근
- 행렬과 그래프
- 정적분
- 미분
Archives
- Today
- Total
수악중독
다항식의 나눗셈_조립제법_난이도 중하 (2020년 6월 전국연합 고1 10번) 본문
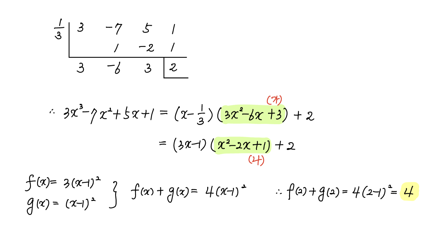
다음은 다항식 $3x^3-7x^2+5x+1$ 을 $3x-1$ 로 나눈 몫과 나머지를 구하기 위하여 조립제법을 이용하는 과정이다.
조립제법을 이용하면

이므로
$\begin{aligned}3x^3-7x^2+5x_1 &= \left ( x- \dfrac{1}{3} \right ) \left (\; \boxed{ (가) } \; \right ) +2 \\ &=(3x-1) \left ( \; \boxed{ (나) } \; \right ) + 2 \end{aligned}$
이다. 따라서, 몫은 $\boxed{ (나) }$ 이고, 나머지는 $2$ 이다.
위의 (가), (나)에 들어갈 식을 각각 $f(x), \; g(x)$ 라 할 때, $f(2)+g(2)$ 의 값은?
① $1$ ② $2$ ③ $3$ ④ $4$ ⑤ $5$
더보기

정답 ④

Comments