| 일 | 월 | 화 | 수 | 목 | 금 | 토 |
|---|---|---|---|---|---|---|
| 1 | ||||||
| 2 | 3 | 4 | 5 | 6 | 7 | 8 |
| 9 | 10 | 11 | 12 | 13 | 14 | 15 |
| 16 | 17 | 18 | 19 | 20 | 21 | 22 |
| 23 | 24 | 25 | 26 | 27 | 28 | 29 |
| 30 |
Tags
- 확률
- 중복조합
- 수학2
- 행렬과 그래프
- 경우의 수
- 수열
- 함수의 그래프와 미분
- 수학1
- 기하와 벡터
- 미적분과 통계기본
- 함수의 연속
- 수학질문답변
- 여러 가지 수열
- 함수의 극한
- 적분과 통계
- 수학질문
- 이정근
- 접선의 방정식
- 심화미적
- 수열의 극한
- 정적분
- 수만휘 교과서
- 도형과 무한등비급수
- 이차곡선
- 미분
- 수능저격
- 수악중독
- 행렬
- 적분
- 로그함수의 그래프
Archives
- Today
- Total
수악중독
미적분과 통계기본_이산확률분포의 평균과 분산의 성질_난이도 중 본문
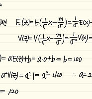
표는 세 개의 주사위를 던져서 나오느 눈의 수들 중에서 두 수의 차의 최댓값을 확률변수 \(X\) 라 할 때, 확률변수 \(X\) 의 확률분포표이다.
|
\(X\) |
\(0\) |
\(1\) |
\(2\) |
\(3\) |
\(4\) |
\(5\) |
계 |
|
\({\rm P}(X=x)\) |
\(\dfrac{1}{36}\) |
\(a\) |
\(\dfrac{2}{9}\) |
\(b\) |
\(\dfrac{2}{9}\) |
\(\dfrac{5}{36}\) |
\(1\) |
이때, 확률변수 \(Y=12X+5\) 의 평균 \({\rm E} (Y)\) 의 값은?
① \(40\) ② \(44\) ③ \(48\) ④ \(52\) ⑤ \(56\)
Comments