| 일 | 월 | 화 | 수 | 목 | 금 | 토 |
|---|---|---|---|---|---|---|
| 1 | ||||||
| 2 | 3 | 4 | 5 | 6 | 7 | 8 |
| 9 | 10 | 11 | 12 | 13 | 14 | 15 |
| 16 | 17 | 18 | 19 | 20 | 21 | 22 |
| 23 | 24 | 25 | 26 | 27 | 28 | 29 |
| 30 |
Tags
- 접선의 방정식
- 수학2
- 수열
- 행렬과 그래프
- 수학1
- 기하와 벡터
- 확률
- 경우의 수
- 수악중독
- 이차곡선
- 함수의 연속
- 중복조합
- 이정근
- 수만휘 교과서
- 수학질문
- 적분과 통계
- 함수의 그래프와 미분
- 여러 가지 수열
- 도형과 무한등비급수
- 수학질문답변
- 적분
- 함수의 극한
- 행렬
- 수열의 극한
- 미분
- 미적분과 통계기본
- 심화미적
- 수능저격
- 정적분
- 로그함수의 그래프
Archives
- Today
- Total
수악중독
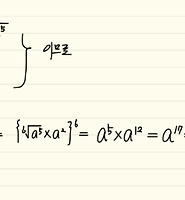
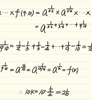
수학1_지수법칙_난이도 중 본문
\(abc=24\) 인 세 실수 \(a,\;b,\;c\) 가 있다. \(2^a=3^2,\; 3^b=5^3\) 일 때, \(5^c\) 의 값을 구하시오.
Comments