| 일 | 월 | 화 | 수 | 목 | 금 | 토 |
|---|---|---|---|---|---|---|
| 1 | ||||||
| 2 | 3 | 4 | 5 | 6 | 7 | 8 |
| 9 | 10 | 11 | 12 | 13 | 14 | 15 |
| 16 | 17 | 18 | 19 | 20 | 21 | 22 |
| 23 | 24 | 25 | 26 | 27 | 28 | 29 |
| 30 |
Tags
- 미적분과 통계기본
- 함수의 연속
- 이차곡선
- 도형과 무한등비급수
- 행렬
- 수열의 극한
- 적분
- 함수의 그래프와 미분
- 기하와 벡터
- 적분과 통계
- 확률
- 미분
- 수악중독
- 경우의 수
- 중복조합
- 수학질문
- 수열
- 접선의 방정식
- 수만휘 교과서
- 로그함수의 그래프
- 여러 가지 수열
- 심화미적
- 수능저격
- 함수의 극한
- 수학2
- 수학질문답변
- 수학1
- 정적분
- 이정근
- 행렬과 그래프
Archives
- Today
- Total
수악중독
수학1_행렬과 그래프_역행렬과 연립일차 방정식_난이도 중 본문
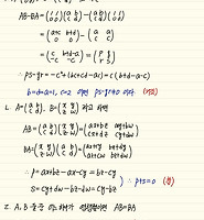
\(x, \;y\) 에 대한 연립방정식 \( \left ( \matrix { a-1 & 1 \\ b-4 & 1-a} \right ) \left ( \matrix {x \\ y} \right ) = \left ( \matrix { 0 \\ 0} \right )\) 이 \(x=y=0\) 이외의 해를 갖도록 하는 두 실수 \(a, \;b\) 에 대하여 \(a+b\) 의 최댓값은?
① \(\dfrac{21}{4}\) ② \(\dfrac{11}{2}\) ③ \(\dfrac{23}{4}\) ④ \(6\) ⑤ \(\dfrac{25}{4}\)
Comments