| 일 | 월 | 화 | 수 | 목 | 금 | 토 |
|---|---|---|---|---|---|---|
| 1 | ||||||
| 2 | 3 | 4 | 5 | 6 | 7 | 8 |
| 9 | 10 | 11 | 12 | 13 | 14 | 15 |
| 16 | 17 | 18 | 19 | 20 | 21 | 22 |
| 23 | 24 | 25 | 26 | 27 | 28 | 29 |
| 30 |
- 이차곡선
- 이정근
- 경우의 수
- 중복조합
- 수학2
- 행렬과 그래프
- 기하와 벡터
- 수능저격
- 수학질문
- 함수의 연속
- 로그함수의 그래프
- 여러 가지 수열
- 함수의 그래프와 미분
- 적분과 통계
- 접선의 방정식
- 수학1
- 수열의 극한
- 확률
- 수악중독
- 미적분과 통계기본
- 적분
- 미분
- 수열
- 도형과 무한등비급수
- 정적분
- 행렬
- 수만휘 교과서
- 심화미적
- 수학질문답변
- 함수의 극한
- Today
- Total
목록합성함수의 극한 (8)
수악중독
실수 전체의 집합에서 정의된 두 함수 \[f\left( x \right) = {\sin ^2}x + a\cos x,\;\;\;g\left( x \right) = \left\{ {\begin{array}{ll}{0\;\;\;\;\;\left( {x
미분가능한 함수 \(f(x)\) 가 \(\lim \limits_{x \to 2} \dfrac{f(2)}{x-2}=3,\; \lim \limits_{x \to 0} \dfrac{f(x)}{x} =2\) 를 만족시킬 때, \(\lim \limits_{x \to 0} \dfrac{f(f(x))}{x-2}\) 의 값은? ① \(0\) ② \(1\) ③ \(2\) ④ \(4\) ⑤ \(6\) 정답 ⑤
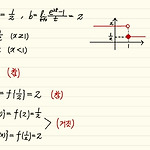
두 실수 \(a=\lim \limits_{t \to 0} \dfrac{\sin t}{2t} ,\;\; b= \lim \limits_{t \to 0} \dfrac{e^{2t}-1}{t}\) 에 대하여 함수 \(f(x)\) 가 \[f\left( x \right) = \left\{ {\begin{array}{ll}a&{\left( {x \ge 1} \right)}\\b&{\left( {x < 1} \right)}\end{array}} \right.\]일 때, [보기]에서 옳은 것을 모두 고른 것은? ㄱ. \(f(1)=\dfrac{1}{2}\) ㄴ. \(f(f(1))=2\) ㄷ. \(\lim \limits_{x \to 1-0} f(f(x))= \lim \limits_{x \to 1+0} f(f(x))\) ① ㄱ..
두 함수 \(f(x)=|x|-1,\; g(x)=[x]\) 에 대하여 옳은 것만을 에서 있는 대로 고른 것은? (단, \([x]\) 는 \(x\) 보다 크지 않은 최대의 정수이다.) ㄱ. 방정식 \(f(x)-g(x)=0\) 의 실근은 \(2\) 개이다.ㄴ. 함수 \((f \circ g)(x)\) 는 \(x=1\) 에서 불연속이다.ㄷ. \(\lim \limits_{x \to \infty} g \left ( 1- \dfrac{1}{x^2} \right ) = \lim \limits_{x \to k+0} g(f(x))\) 를 만족시키는 정수 \(k\) 는 \(2\) 개이다. ① ㄴ ② ㄷ ③ ㄱ, ㄴ ④ ㄱ, ㄷ ⑤ ㄴ, ㄷ 정답 ⑤
두 함수 \(y=f(x)\) 와 \(y=g(x)\) 의 그래프의 일부가 다음 그림과 같고, 모든 실수 \(x\) 에 대하여 \(f(x+4)=f(x)\) 일 때, 옳은 것만을 에서 있는 대로 고른 것은? ㄱ. \(\lim \limits_{x \to 0} g(f(x))=-2\) ㄴ. \(\lim \limits_{x \to 2} g(f(x))=1\) ㄷ. \(\lim \limits_{x \to \infty} \sum \limits_{k=1}^{4} g \left ( f \left ( 2k+ \dfrac{1}{x} \right ) \right ) = -2\) ① ㄱ ② ㄴ ③ ㄷ ④ ㄴ, ㄷ ⑤ ㄱ, ㄴ, ㄷ 정답 ④
실수 전체의 집합에서 정의된 함수 \(y=f(x)\) 의 그래프가 그림과 같다. \(\lim \limits_{t \to \infty} f \left ( \dfrac{t-1}{t+1} \right ) + \lim \limits_{t \to -\infty} f \left ( \dfrac{4t-1}{t+1} \right )\) 의 값은? ① \(3\) ② \(4\) ③ \(5\) ④ \(6\) ⑤ \(7\) 정답 ③
함수 $f(x) = \begin{cases} 1 & (x \le 1) \\ x & (x>1)\end{cases}$에 대하여 구간 $[t,\;t+1]$에서 함수 $f(x)$의 최댓값을 $g(t)$라 하자. $\lim \limits_{t \to + 0} g\left( {g\left( t \right)} \right)$의 값은? ① \(-2\) ② \(-1\) ③ \(0\) ④ \(1\) ⑤ \(2\) 더보기 정답 ⑤