| 일 | 월 | 화 | 수 | 목 | 금 | 토 |
|---|---|---|---|---|---|---|
| 1 | 2 | 3 | 4 | 5 | 6 | |
| 7 | 8 | 9 | 10 | 11 | 12 | 13 |
| 14 | 15 | 16 | 17 | 18 | 19 | 20 |
| 21 | 22 | 23 | 24 | 25 | 26 | 27 |
| 28 | 29 | 30 | 31 |
Tags
- 수능저격
- 행렬
- 이정근
- 정적분
- 수학1
- 로그함수의 그래프
- 함수의 연속
- 미분
- 적분
- 기하와 벡터
- 수학질문
- 이차곡선
- 적분과 통계
- 여러 가지 수열
- 함수의 극한
- 경우의 수
- 행렬과 그래프
- 도형과 무한등비급수
- 수열의 극한
- 함수의 그래프와 미분
- 중복조합
- 심화미적
- 수학질문답변
- 수학2
- 수열
- 미적분과 통계기본
- 확률
- 수만휘 교과서
- 접선의 방정식
- 수악중독
Archives
- Today
- Total
목록무한급수와 정적분 (3)
수악중독
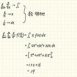
함수 $f(x)=4x^2+6x+32$ 에 대하여 $$\lim \limits_{n \to \infty} \sum \limits_{k=1}^n \dfrac{k}{n^2} f \left ( \dfrac{k}{n} \right )$$ 의 값을 구하시오. 정답 $19$
(9차) 미적분 I 문제풀이/적분
2016. 9. 2. 04:19
무한급수와 정적분 & 짝함수의 정적분 (2016년 7월 교육청 나형 28번)
$f(1)=1$ 인 이차함수 $f(x)$ 와 함수 $g(x)=x^2$ 이 다음 조건을 만족시킨다. (가) 모든 실수 $x$ 에 대하여 $f(-x)=f(x)$ 이다.(나) $\lim \limits_{n \to \infty} \dfrac{1}{n} \sum \limits_{k=1}^n \left \{ f \left ( \dfrac{k}{n} \right ) - g \left ( \dfrac{k}{n} \right ) \right \} = 27$ 두 곡선 $y=f(x)$ 와 $y=g(x)$ 로 둘러싸인 부분의 넓이를 구하시오. 정답 $54$
(9차) 미적분 I 문제풀이/적분
2016. 7. 6. 17:15
함수 $f(x)=\dfrac{1}{x^2+x}$ 에 대해서 $\lim \limits_{n \to \infty} \dfrac{2}{n} \sum \limits_{k=1}^{n} f \left (1+ \dfrac{2k}{n} \right )$ 의 값은? ① $\ln \dfrac{9}{8}$ ② $\ln \dfrac{5}{4}$ ③ $\ln \dfrac{11}{8}$ ④ $\ln \dfrac{3}{2}$ ⑤ $\ln \dfrac{13}{8}$ 정답 ④
(9차) 미적분 II 문제풀이/적분
2016. 7. 6. 17:01