수학1- 문제풀이/수열
등차수열의 합과 일반항_난이도 중 (2024년 5월 전국연합 고3 11번)
수악중독
2024. 5. 10. 22:10
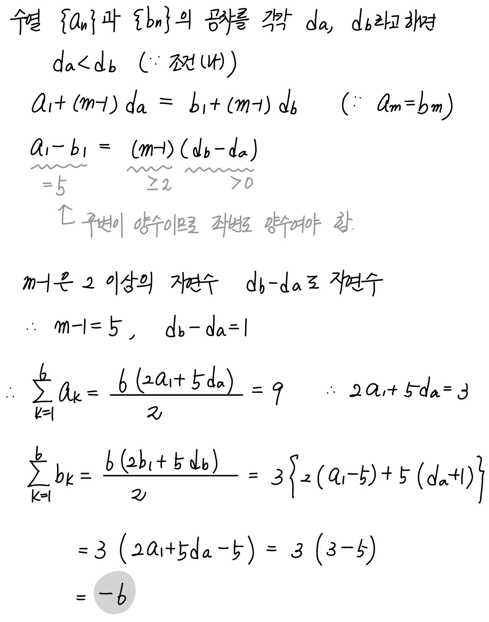
공차가 정수인 두 등차수열 $\{a_n\}, \; \{b_n\}$ 과 자연수 $m \; (m \ge 3)$ 이 다음 조건을 만족시킨다.
(가) $|a_1 - b_1 |=5$
(나) $a_m = b_m, \; a_{m+1}<b_{m+1}$
$\sum \limits_{k=1}^m a_k = 9$ 일 때, $\sum \limits_{k=1}^m b_k$ 의 값은?
① $-6$ ② $-5$ ③ $-4$ ④ $-3$ ⑤ $-2$
더보기

정답 ①
