미적분 - 문제풀이/적분법
역함수의 미분법 & 합성함수의 적분_난이도 상 (2023년 11월 수능 미적 25번)
수악중독
2023. 11. 16. 16:20
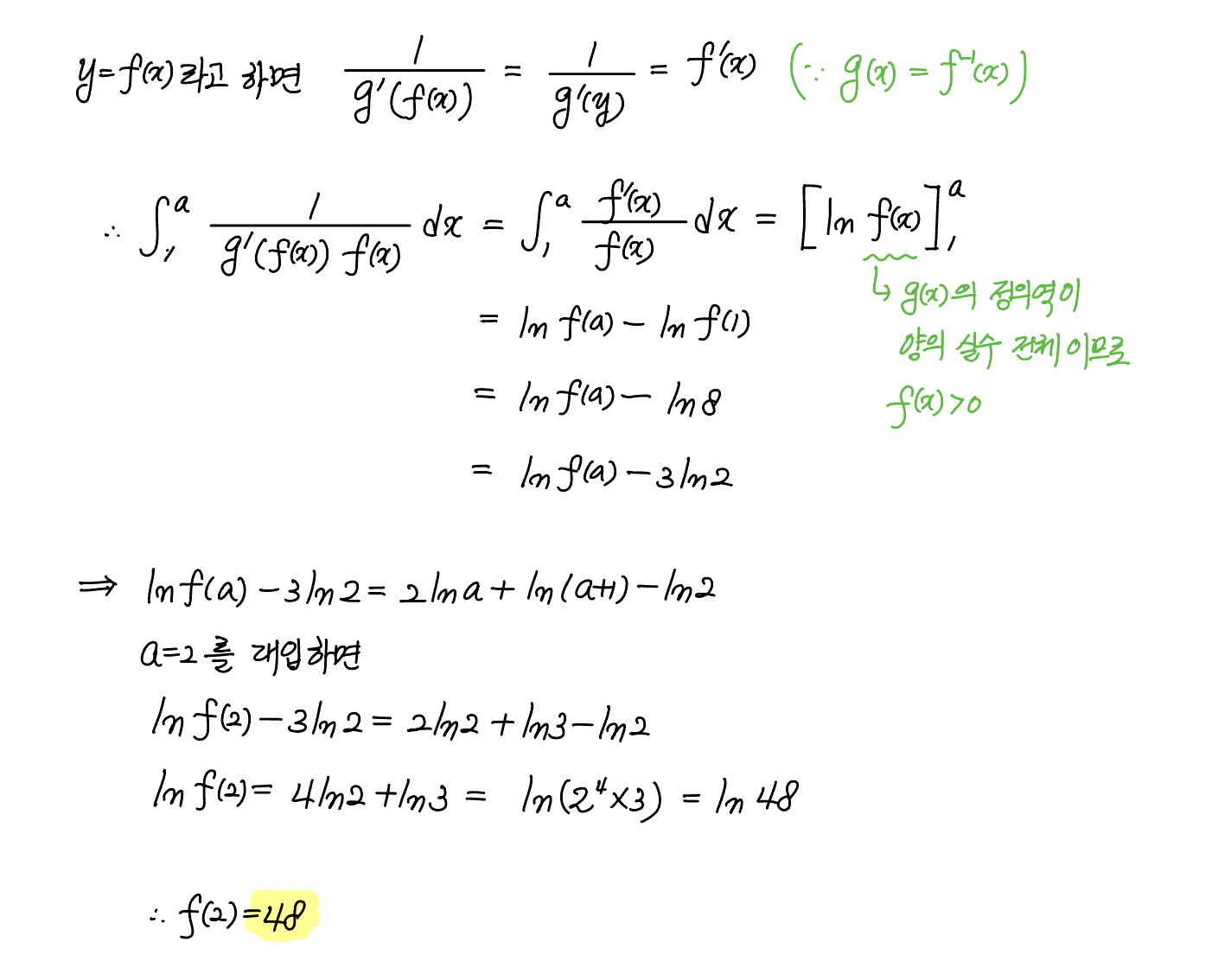
양의 실수 전체의 집합에서 정의되고 미분가능한 두 함수 $f(x), \; g(x)$ 가 있다. $g(x)$ 는 $f(x)$ 의 역함수이고, $g'(x)$ 는 양의 실수 전체의 집합에서 연속이다.
모든 양수 $a$ 에 대하여 $$\displaystyle \int_1^a \dfrac{1}{g'(f(x))f(x)}dx=2 \ln a + \ln (a+1) - \ln 2$$ 이고 $f(1)=8$ 일 때, $f(2)$ 의 값은?
① $36$ ② $40$ ③ $44$ ④ $48$ ⑤ $52$
더보기

정답 ④
