삼각형의 넓이_난이도 중 (2023년 6월 전국연합 고2 19번)
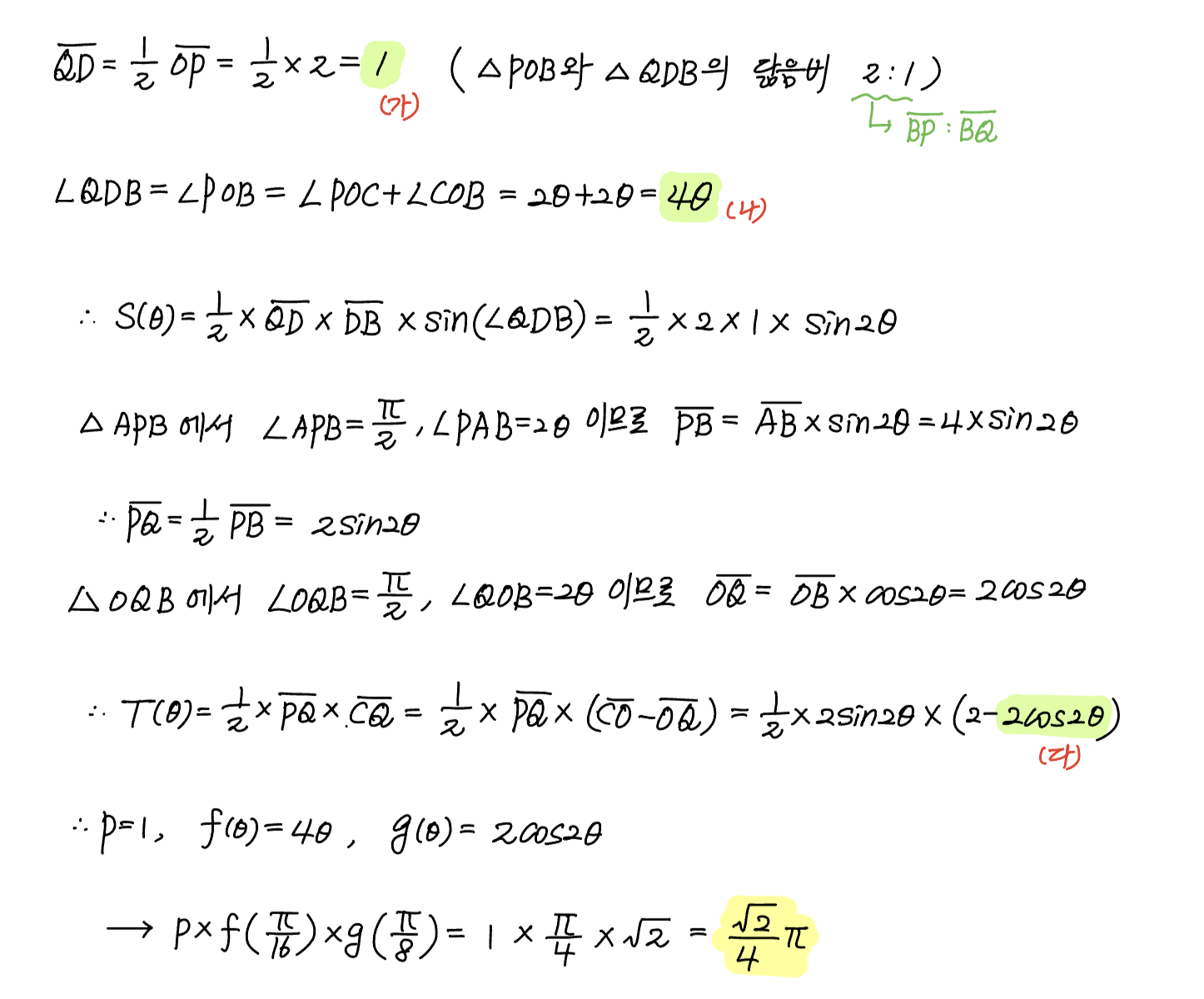
그림과 같이 길이가 $4$ 인 선분 $\mathrm{AB}$ 를 지름으로 하는 반원이 있다. 선분 $\mathrm{AB}$ 의 중점을 $\mathrm{O}$ 라 하고, 호 $\mathrm{AB}$ 위의 점 $\mathrm{C}$ 에 대하여 점 $\mathrm{A}$ 를 지나고 선분 $\mathrm{OC}$ 와 평행한 직선과 호 $\mathrm{AB}$ 의 교점을 $\mathrm{P}$, 선분 $\mathrm{OC}$ 와 선분 $\mathrm{BP}$ 의 교점을 $\mathrm{Q}$ 라 하자.
점 $\mathrm{Q}$ 를 지나고 선분 $\mathrm{PO}$ 와 평행한 직선과 선분 $\mathrm{OB}$ 의 교점을 $\mathrm{D}$ 라 하자. $\angle \mathrm{CAB}=\theta$ 라 할 때, 삼각형 $\mathrm{QDB}$ 의 넓이를 $S(\theta)$, 삼각형 $\mathrm{PQC}$ 의 넓이를 $T(\theta)$ 라 하자. 다음은 $S(\theta)$ 와 $T(\theta)$ 를 구하는 과정이다. (단, $0 \lt \theta \lt \dfrac{\pi}{4}$ )

$\angle \mathrm{CAB}=\theta$ 이므로 $\angle \mathrm{COB}=2\theta$ 이다.
삼각형 $\mathrm{POB}$ 가 이등변삼각형이고 $\angle \mathrm{OQB}=\dfrac{\pi}{2}$ 이므로 점 $\mathrm{Q}$ 는 선분 $\mathrm{PB}$ 의 중점이고 $\angle \mathrm{POQ}=2\theta$ 이다.
선분 $\mathrm{PO}$ 와 선분 $\mathrm{QD}$ 가 평행하므로 삼각형 $\mathrm{POB}$ 와 삼각형 $\mathrm{QDB}$ 는 닮음이다.
따라서 $\overline{\mathrm{QD}}=\boxed{\text{ (가) }}$ 이고, $\angle \mathrm{QDB}=\boxed{\text{ (나) }}$ 이므로 $$S(\theta)=\dfrac{1}{2} \times \boxed{\text{ (가) }} \times 1 \times \sin \left ( \boxed{\text{ (나) }} \right )$$ 이다. $\mathrm{\overline{CQ}=\overline{CO}-\overline{QO}}$ 이므로 $$T(\theta) = \dfrac{1}{2} \times \overline{\mathrm{PQ}} \times \overline{\mathrm{CQ}} = \sin 2 \theta \times \left ( 2 - \boxed{\text{ (다) }}\right )$$ 이다.
위의 (가)에 알맞은 수를 $p$ 라 하고, (나), (다)에 알맞은 식을 각각 $f(\theta), \; g(\theta)$ 라 할 때, $p \times f \left ( \dfrac{\pi}{16} \right ) \times g \left ( \dfrac{\pi}{8} \right )$ 의 값은?
① $\dfrac{\sqrt{2}}{4}\pi$ ② $\dfrac{\sqrt{2}}{5}\pi$ ③ $\dfrac{\sqrt{2}}{6}\pi$ ④ $\dfrac{\sqrt{2}}{7}\pi$ ⑤ $\dfrac{\sqrt{2}}{8}\pi$
정답 ①
