수학1- 문제풀이/수열
등비수열의 합_난이도 중 (2022년 11월 전국연합 고2 15번)
수악중독
2022. 11. 24. 01:32
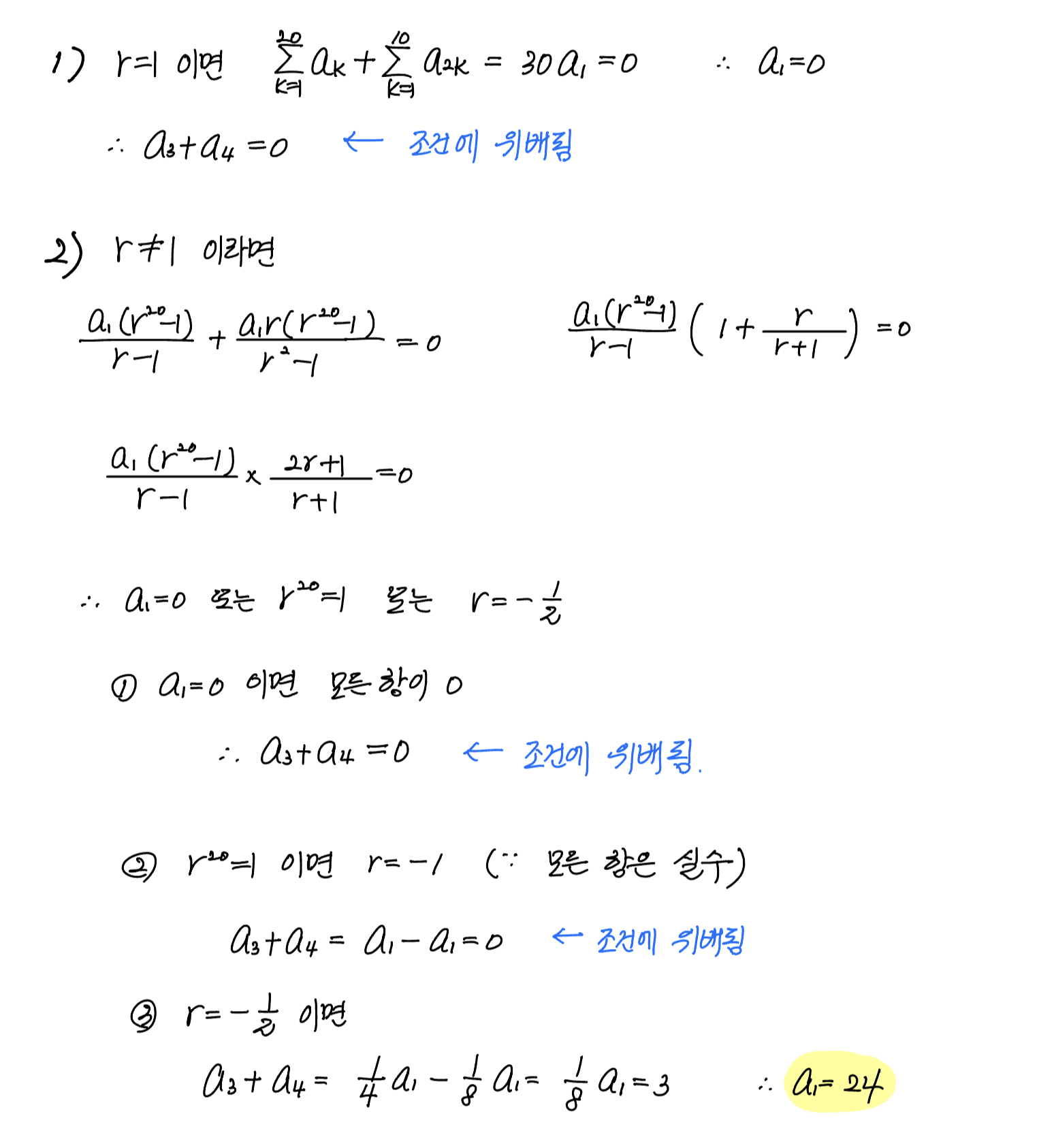
모든 항이 실수인 등비수열 $\{a_n\}$ 에 대하여 $$\sum \limits_{k=1}^{20} a_k + \sum \limits_{k=1}^{10}a_{2k}=0$$ 이 성립한다. $a_3 + a_4 = 3$ 일 때, $a_1$ 의 값은?
① $12$ ② $16$ ③ $20$ ④ $24$ ⑤ $28$
더보기

정답 ④
